Как рассчитать объем газа по первому закону термодинамики?
Основы термодинамики: Первый закон термодинамики. Задание на расчёт объёма газа
Узнайте, как определить объем газа, используя первый закон термодинамики и связь между теплотой, работой и внутренней энергией. В статье объясняется, как применять уравнение состояния идеального газа () совместно с формулами первого закона термодинамики. Приводятся необходимые формулы для расчета объема в различных процессах, а также разбирается задача с подробным решением. Этот материал поможет вам глубже понять основы термодинамики и успешно справиться с физическими задачами
Рассчитай объём находящегося в непроницаемом резервуаре одноатомного идеального газа в термодинамическом состоянии 2, учитывая следующие его физические параметры: T₁=299 К, p=5 МПа, ν=4 моль. Изменение состояния газа происходит за счёт получения количества теплоты (3 кДж).
В данной задаче описано изменение термодинамического состояния газа в результате изобарного процесса, так как на графике мы видим изменение объёма и температуры. Преобразуем уравнение Менделеева-Клапейрона для данного процесса (подробнее получение формулы расписано здесь)
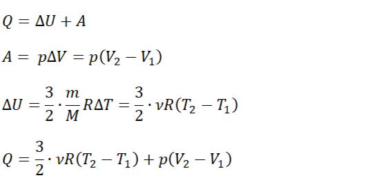
Согласно первому закону термодинамики для изобарного процесса, количество теплоты в изобарном процессе равно сумме изменения внутренней энергии и работы газа, запишем и объединим эти формулы
Раскроем скобки и преобразуем формулу таким образом, чтобы в ней остались известные и искомая величины. Для этого используем уравнение Менделеева-Клапейрона для каждого состояния газа (записаны первыми)
Остается выразить искомый объем и подставить числа для решения задачи
Ниже решение задачи, как оно будет выглядеть в тетради
