Как рассчитать удельную теплоемкость тела при фазовых переходах?
Основы термодинамики: Агрегатные состояния вещества. Фазовые переходы. Задание на расчёт удельной теплоёмкости тела
Научитесь определять удельную теплоемкость вещества, используя законы термодинамики и данные о переданной теплоте, массе тела и изменении температуры (). В статье объясняется, как учитывать особенности различных агрегатных состояний и фазовые переходы. Приводятся необходимые формулы для расчета удельной теплоемкости, а также разбирается задача с подробным решением. Этот материал поможет вам глубже понять основы термодинамики и успешно справиться с физическими задачами
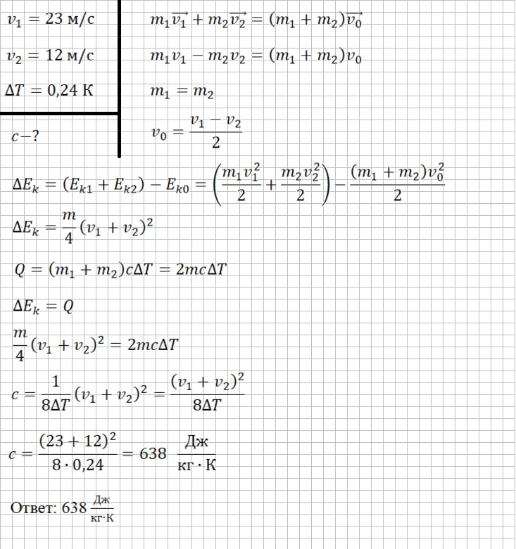
Два объекта с равными массами неупруго взаимодействуют, нагреваясь на 0,24 К. Определи удельную теплоёмкость объектов, учитывая значения их скоростей до соударения (12 м/с и 23 м/с) при движении навстречу друг другу по горизонтальной поверхности.
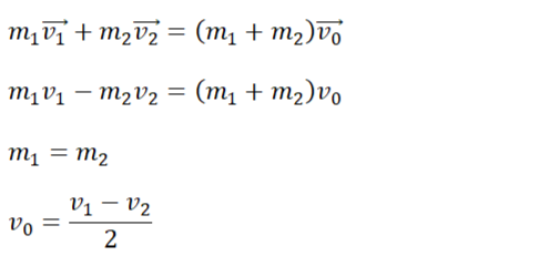
В результате неупругого соударения тел массами m₁ и m₂ образовалось новое тело массой m₁+m₂. Запишем закон сохранения импульса в векторном виде, спроецируем на ось ОХ и выразим v₀ — скорость тела массой m₁+m₂. Необходимо учитывать, что объекты одинаковы и их массы равны
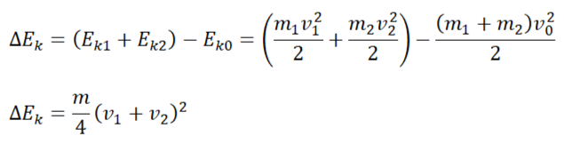
Далее запишем и преобразуем формулу изменения кинетической энергии, подставив выведенную ранее формулу v₀ и учитывая равенство масс
Согласно уравнению теплового баланса, изменение кинетической энергии равно количеству теплоты. Запишем формулу для количества теплоты, необходимого для нагревания тела и преобразуем, учитывая равенство масс
Запишем уравнение теплового баланса и подставим формулы, полученные выше, затем сможем выразить искомую теплоемкость
Теперь подставляем числа из условия и считаем
