Как рассчитать среднюю кинетическую энергию по первому закону термодинамики?
Основы термодинамики: Первый закон термодинамики. Задание на расчёт средней кинетической энергии
Научитесь определять среднюю кинетическую энергию молекул газа, используя связь между температурой, внутренней энергией и первым законом термодинамики. В статье объясняется, как применяются формулы для расчета энергии () и как учитывать изменения в системе при добавлении теплоты или выполнении работы. Приводится задача с пошаговым решением, что поможет вам успешно освоить основы термодинамики и справиться с физическими задачами
Задача
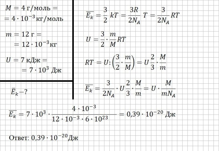
Найди среднюю кинетическую энергию одной частицы идеального одноатомного газа (4 г/моль), учитывая значения его физических характеристик: внутренняя энергия — 7 кДж, масса — 12 г.
Преобразуем формулу средней кинетической энергии одной частицы газа при поступательном движении, подставив вместо постоянной Больцмана её формулу
Запишем формулу внутренней энергии одноатомного идеального газа и преобразуем, выразив RT
Полученное выражение подставим в формулу средней кинетической энергии
Подставим числовые данные из задачи и решим её
