Как рассчитать высоту подъема жидкости в капилляре при фазовых переходах?
Основы термодинамики: Агрегатные состояния вещества. Фазовые переходы. Задание на расчёт высоты жидкости в капилляре
Узнайте, как определить высоту, на которую поднимается жидкость в капилляре, используя законы молекулярной физики и поверхностных явлений. В статье объясняется связь между коэффициентом поверхностного натяжения, углом контакта, плотностью жидкости и радиусом капилляра (). Приводятся необходимые формулы для расчета высоты подъема и разбирается задача с подробным решением. Этот материал поможет вам глубже понять явления, связанные с агрегатными состояниями вещества, и успешно справиться с физическими задачами
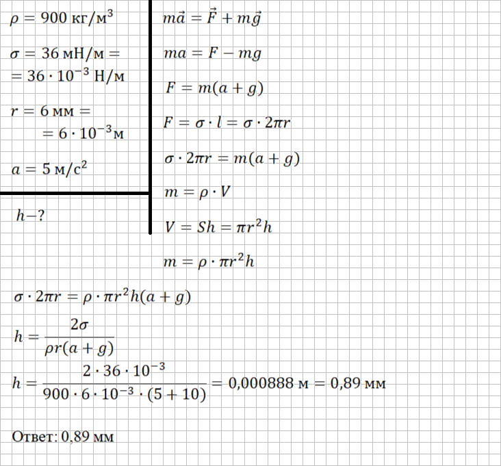
Смачиваемый капилляр радиусом 6 мм опущен в ёмкость с жидкостью. Ёмкость помещают на платформу и поднимают вертикально вверх с ускорением 5 м/с². Рассчитай высоту жидкости в капилляре, учитывая физические характеристики жидкости: плотность — 900 кг/м³, коэффициент поверхностного натяжения — 36 мН/м.
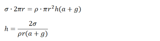
Сила поверхностного натяжения может быть найдена с помощью следствия из второго закона Ньютона, запишем его в векторном виде и спроецируем на ось ОУ
С другой стороны, сила поверхностного натяжения может быть найдена как произведение коэффициента поверхностного натяжения и длины границы раздела (длины окружности). Запишем и подставим в формулу выше
В задаче дана плотность, значит представим массу как произведение плотности и объёма, затем в эту формулу подставим формулу объёма (слой жидкости в капилляре имеет цилиндрическую форму)
Подставим данную формулу вместо массы и выразим высоту
Остается подставить числа из условия задачи и решить её
