Как рассчитать скорость движения тел после неупругого удара по закону сохранения импульса?
Законы сохранения в механике: Импульс. Задание на расчёт скорости движения тел (неупругий удар)
Научитесь определять общую скорость движения тел после неупругого удара, используя закон сохранения импульса. В статье объясняется, как складывать импульсы до и после удара, учитывая массы и начальные скорости тел. Приводятся необходимые формулы и разбирается задача с подробным решением. Этот материал станет отличным помощником для изучения законов сохранения в механике и подготовки к экзаменам по физике
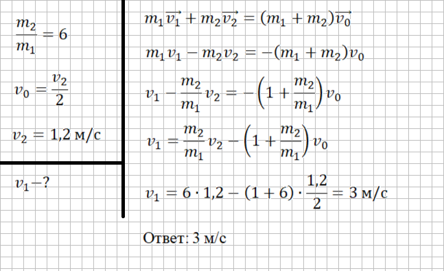
В системе происходит неупругое соударение двух объектов (m₁, m₂) в результате центрального встречного движения по плоскости. Рассчитай скорость объекта 1, если скорость объекта 2 составляла 1,2 м/с, а также если известно, что отношение масс m₂/m₁=6 и скорость объектов после соударения составляет половину скорости движения объекта 2 до соударения.
Результирующая внешних сил (силы тяжести и реакции опоры), действующих на объекты, равна нулю, значит можно применить закон сохранения импульса. Запишем его в векторном виде, спроецируем на ось ОХ и преобразуем, выразив искомую скорость.
