Как рассчитать изменение температуры при фазовых переходах вещества? (2)
Основы термодинамики: Агрегатные состояния вещества. Фазовые переходы. Задание на расчёт изменения температуры (2)
Научитесь определять изменение температуры вещества во время фазовых переходов, используя законы термодинамики и концепцию удельной теплоты фазового перехода. В статье объясняется, как учитывать подведенную или отведенную теплоту, массу вещества и тип фазового перехода (). Приводятся необходимые формулы для расчета изменения температуры до и после перехода, а также разбирается задача с подробным решением. Этот материал поможет вам успешно освоить основы агрегатных состояний вещества и справиться с физическими задачами
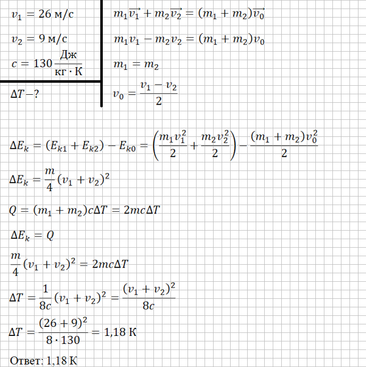
Найди изменение температуры двух одинаковых объектов (130 Дж/кг⋅К) после их неупругого взаимодействия друг с другом в результате встречного центрального движения со скоростями 9 м/с и 26 м/с.
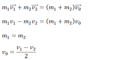
В результате неупругого соударения тел массами m₁ и m₂ образовалось новое тело массой m₁+m₂. Запишем закон сохранения импульса в векторном виде, спроецируем на ось ОХ и выразим v₀ — скорость тела массой m₁+m₂. Необходимо учитывать, что объекты одинаковы и их массы равны
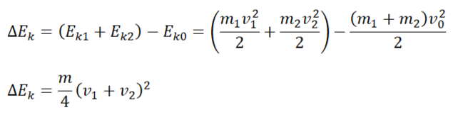
Далее запишем и преобразуем формулу изменения кинетической энергии, подставив выведенную ранее формулу v₀ и учитывая равенство масс
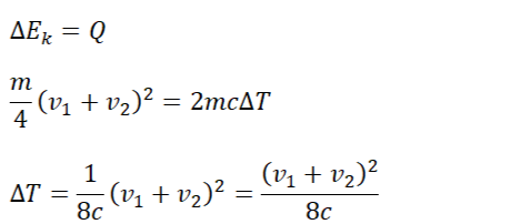
Согласно уравнению теплового баланса, изменение кинетической энергии равно количеству теплоты. Запишем формулу для количества теплоты, необходимого для нагревания тела и преобразуем, учитывая равенство масс
Запишем уравнение теплового баланса и подставим формулы, полученные выше, затем сможем выразить ΔТ
Подставим числовые данные из условия задачи и решим её
