Как рассчитать эквивалентную ёмкость системы конденсаторов?
Электродинамика. Электростатика: Электроёмкость. Энергия электрического поля. Задание на расчёт эквивалентной ёмкости системы конденсаторов
Научитесь определять эквивалентную ёмкость системы конденсаторов, подключенных параллельно или последовательно. В статье объясняется, как соединение конденсаторов влияет на их общую ёмкость и какие правила нужно применять для расчета в различных схемах подключения. Мы разберем практическую задачу с подробным решением, чтобы продемонстрировать методику вычисления эквивалентной ёмкости. Этот материал поможет вам глубже понять принципы работы систем конденсаторов и успешно справляться с физическими задачами
Найди, во сколько раз увеличится ёмкость системы конденсаторов, изображённой на рисунке, если замкнуть ключ K. C₁=3 мкФ, C₂=4 мкФ, C₃=2 мкФ.
При замыкании ключа конденсаторы C₂ и C₃ оказываются соединёнными накоротко, при этом в проводнике возникает электрический ток, приводящий к переносу отрицательного заряда на положительные обкладки конденсаторов. В результате происходит разрядка (уменьшение заряда) конденсаторов. Данный процесс продолжается до тех пор, пока потенциалы обкладок не станут равными, то есть конденсаторы полностью разрядятся. После этого ёмкость конденсаторов C₂ и C₃ не влияет на общую ёмкость системы Cₔ₂. Изобразим эквивалентные схемы при разомкнутом и замкнутом ключе
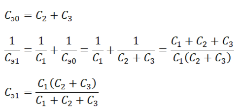
При разомкнутом ключе конденсаторы C₂ и C₃ соединены параллельно, эквивалентная ёмкость является суммой ёмкостей. Общую ёмкость системы найдём по формуле ёмкости при последовательном соединении
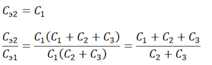
При замкнутом ключе ёмкость системы равна ёмкости конденсатора C₁. В задаче необходимо найти во сколько раз увеличится ёмкость системы, значит необходимо поделить общую ёмкость при замкнутом ключе на общую ёмкость при разомкнутом
Подставим известные ёмкости и решим задачу. Так как все ёмкости даны в одних и тех же единицах, можно не переводить в СИ
