Как рассчитать силу тока в цепи постоянного тока? (4)
Электродинамика. Постоянный электрический ток: Расчёт электрических цепей постоянного тока. Задание на расчёт силы тока (4)
Научитесь определять силу тока в электрической цепи постоянного тока, используя закон Ома и принципы расчета сложных цепей. В статье объясняется, как учитывать сопротивление различных участков цепи, параллельные и последовательные соединения, а также влияние внутреннего сопротивления источника тока. Мы разберем задачу с подробным решением, чтобы показать, как применять основные формулы для расчета силы тока в разных типах цепей. Этот материал поможет вам успешно освоить основы электрических цепей и справиться с физическими задачами
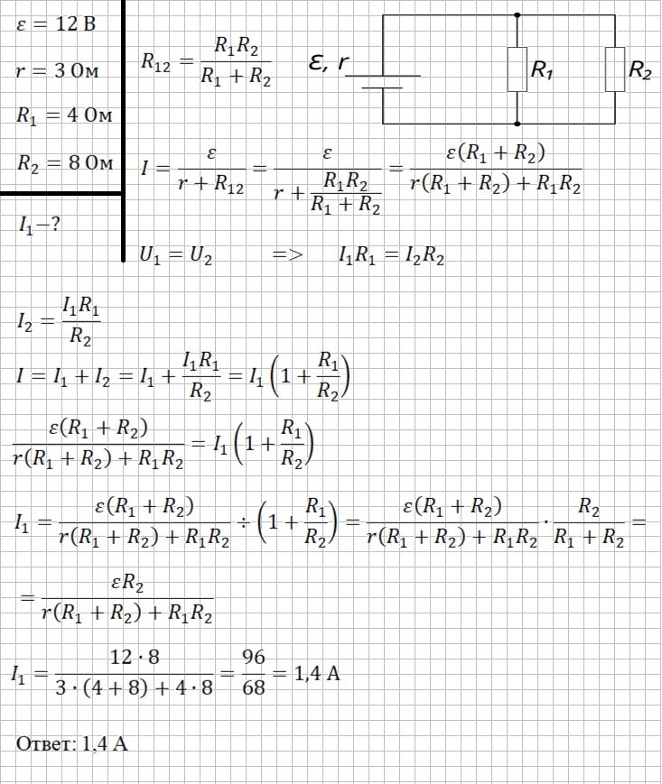
Найди значение силы тока на сопротивлении R₁, учитывая физические параметры электрической схемы: ε=12 В, r=3 Ом, R₁=4 Ом, R₂=8 Ом.
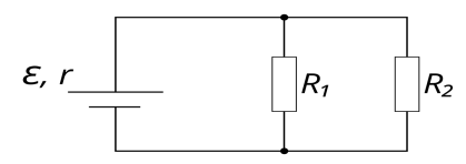
Заменим параллельно соединённые сопротивления R₁ и R₂ на эквивалентное сопротивление R₁₂, а затем подставим в закон Ома для замкнутой (полной) цепи.
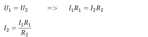
Напряжения при параллельном соединении проводников равны, значит равны и их формулы, выразим из них I₂.
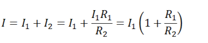
Запишем закон для силы тока при параллельном соединении проводников и подставим в него формулу для I₂
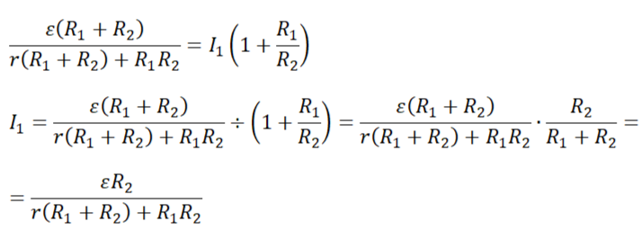
Получили две формулы для силы тока. Приравняем их и выразим I₁
Подставим в данную формулу числовые значения величин и решим задачу
