Как рассчитать силу тока в цепи постоянного тока? (2)
Электродинамика. Постоянный электрический ток: Расчёт электрических цепей постоянного тока. Задание на расчёт силы тока (2)
Научитесь определять силу тока в электрической цепи постоянного тока, используя закон Ома и принципы расчета сложных цепей. В статье объясняется, как учитывать сопротивление различных участков цепи, параллельные и последовательные соединения, а также влияние внутреннего сопротивления источника тока. Мы разберем задачу с подробным решением, чтобы показать, как применять основные формулы для расчета силы тока в разных типах цепей. Этот материал поможет вам успешно освоить основы электрических цепей и справиться с физическими задачами
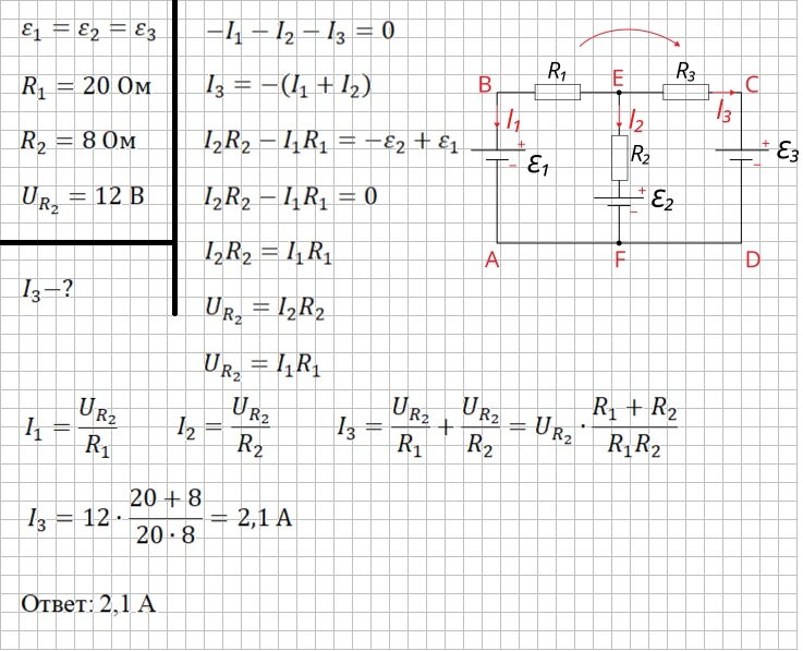
Найди значение силы тока на сопротивлении R₃, учитывая физические параметры электрической цепи: ε₁=ε₂=ε₃, R₁=20 Ом, R₂=8 Ом, падение напряжения на сопротивлении R₂=12 В
В отличие от этой задачи, здесь не дано сопротивление R₃. Изобразим направления обхода контуров и сил токов на их участках
Запишем первое уравнение Кирхгофа для узла E и выразим из него искомую силу тока.
Знак «−» показывает истинное направление силы тока I₃, противоложно указанному на нашей схеме, поэтому далее будем использовать модуль данной формулы
Запишем второе уравнение Кирхгофа для контура BEFA. Так как ЭДС равны, преобразуем его
В левой части формулы — падение напряжения на сопротивлении R₂. Выразим силы тока на сопротивлениях R₁ и R₂, учитывая это
Подставим их в формулу силы тока I₃ и преобразуем для удобства расчётов
Осталось произвести расчёт и решить задачу
