Как рассчитать ЭДС в цепи постоянного тока? (1)
Электродинамика. Постоянный электрический ток: Расчёт электрических цепей постоянного тока. Задание на расчёт ЭДС (1)
Научитесь определять электродвижущую силу (ЭДС) источника тока в электрической цепи, используя основные принципы расчета цепей постоянного тока. В статье объясняется, как учитывать падение напряжения на внешней цепи, внутреннее сопротивление источника и силу тока при расчете ЭДС. Мы разберем задачу с подробным решением, чтобы продемонстрировать, как применять закон Ома и другие формулы для точного определения ЭДС. Этот материал поможет вам глубже понять работу электрических цепей и успешно решать связанные с ними физические задачи
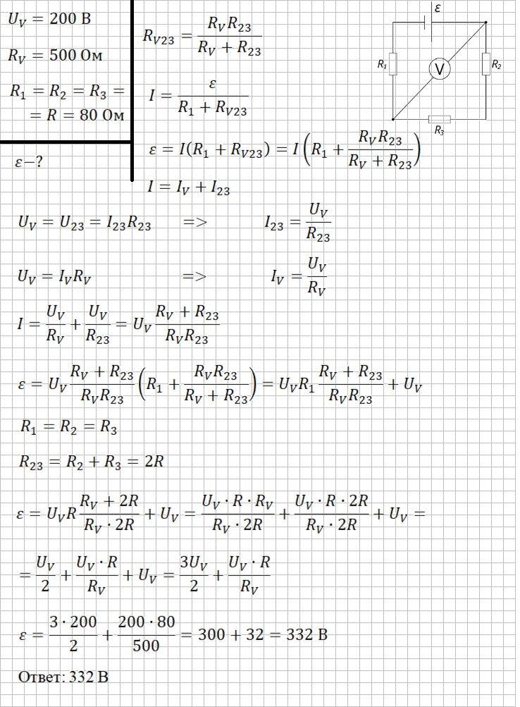
Определи ЭДС источника тока, учитывая физические характеристики электрической цепи: R₁=R₂=R₃=80 Ом, сопротивление вольтметра 500 Ом, показания вольтметра 200 В.
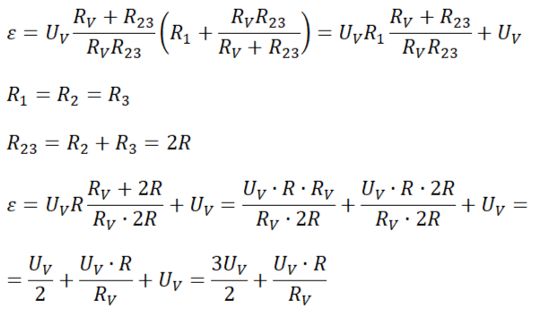
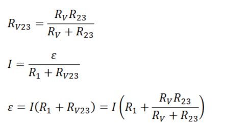
Заменим последовательно соединённые сопротивления R₂ и R₃ на эквивалентное сопротивление R₂₃ и параллельно соединённые сопротивления Rᵥ и R₂₃ на эквивалентное сопротивление Rᵥ₂₃. С учетом этого запишем закон Ома для замкнутой (полной) цепи и выразим ЭДС.
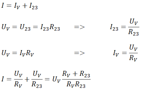
Вольтметр и резисторы 2 и 3 соединены параллельно, запишем законы для силы тока и для напряжения при параллельном соединении проводников. Из последнего выразим I₂₃, из формулы напряжения на вольтметре выразим силу тока на нем, и выполним преобразования
Подставим данную формулу в формулу для ЭДС, а затем, учитывая равенство сопротивлений, преобразуем
