Как рассчитать разность потенциалов в цепи постоянного тока? (2)
Электродинамика. Постоянный электрический ток: Расчёт электрических цепей постоянного тока. Задание на расчёт разности потенциалов (2)
Научитесь определять разность потенциалов между различными точками электрической цепи постоянного тока, используя закон Ома и принципы расчета сложных цепей. В статье объясняется, как учитывать сопротивление каждого участка цепи, распределение тока и влияние внутреннего сопротивления источника. Мы разберем задачу с подробным решением, чтобы показать, как правильно рассчитать разность потенциалов в разных конфигурациях цепей. Этот материал поможет вам успешно освоить основы работы электрических цепей и справиться с физическими задачами
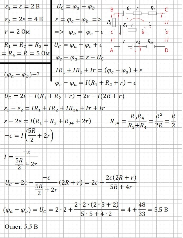
Рассчитай разность потенциалов на участке a−b, учитывая физические параметры электрической схемы: ε₁=2 В, ε₂=4 В, r=2 Ом, R₁=R₂= R₃=R₄=5 Ом.
Изобразим направления тока и обхода контура ABCD (выбираем по часовой стрелке)
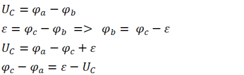
Заметим, что ε₂ вдвое больше ε₁, далее будем решать с учетом этого. Запишем формулы для напряжения на конденсаторе и на участке с-а и преобразуем.
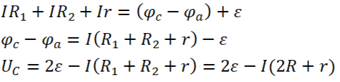
Далее запишем и преобразуем закон Ома для неоднородного участка цепи cBCa с учётом знаков. Так как равны левые части формул, приравняем правые
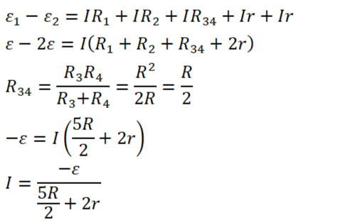
Запишем и преобразуем второе уравнение Кирхгофа для контура ABCD с учётом знаков, а затем выразим силу тока
Остается подставить силу тока в формулу напряжения на конденсаторе, а затем решить задачу
