Как рассчитать силу тока в цепи постоянного тока? (5)
Электродинамика. Постоянный электрический ток: Расчёт электрических цепей постоянного тока. Задание на расчёт силы тока (5)
Научитесь определять силу тока в электрической цепи постоянного тока, используя закон Ома и принципы расчета сложных цепей. В статье объясняется, как учитывать сопротивление различных участков цепи, параллельные и последовательные соединения, а также влияние внутреннего сопротивления источника тока. Мы разберем задачу с подробным решением, чтобы показать, как применять основные формулы для расчета силы тока в разных типах цепей. Этот материал поможет вам успешно освоить основы электрических цепей и справиться с физическими задачами
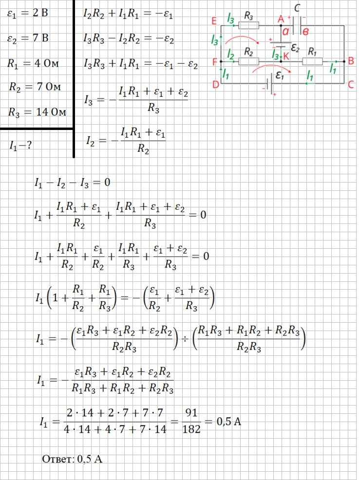
Определи значение силы тока на сопротивлении R₁, учитывая физические параметры электрической схемы: ε₁=2 В, ε₂=7 В, R₁=4 Ом, R₂=7 Ом, R₃=14 Ом.
Изобразим направления обхода контуров и сил токов
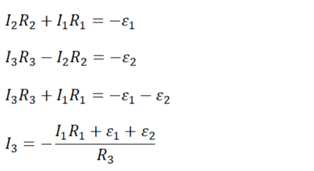
Запишем второе уравнение Кирхгофа с учётом знаков для контуров DFBC и FEAK, а затем преобразуем, выразив I₃.
Из второго уравнения Кирхгофа для контура DFBC выразим I₂
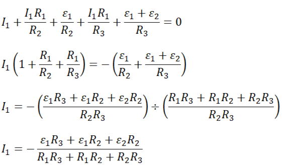
Запишем первое уравнение Кирхгофа с учётом знаков для узла F и подставим в него выраженные ранее I₂ и I₃.
Выразим искомую силу тока I₁.
Знак «−» в формуле показывает истинное направление силы тока I₁, противоложно указанному на рисунке, значит далее, при подстановке числовых значений, рассчитываем модуль
