Как рассчитать диаметр провода в электрической цепи по закону Ома?
Электродинамика. Постоянный электрический ток: Закон Ома для неоднородного участка цепи и полной цепи. Расчёт диаметра провода
Научитесь определять диаметр провода для неоднородной электрической цепи, используя закон Ома и зависимость сопротивления от геометрических параметров материала. В статье объясняется, как площадь поперечного сечения провода влияет на его сопротивление и как это соотношение учитывается при расчетах тока и напряжения. Мы разберем задачу с подробным решением, чтобы показать, как связать электрические характеристики цепи с физическими свойствами провода. Этот материал поможет вам успешно освоить основы постоянного электрического тока и справиться с практическими задачами
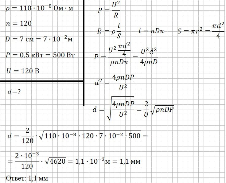
Круговой элемент нагревателя диаметром 7 см и мощностью 0,5 кВт содержит 120 витков провода (110⋅10⁻⁸ Ом · м). Рассчитай диаметр провода, учитывая значение постоянного напряжения 120 В.
В задаче рассматривается тепловое действие электрического тока. Запишем формулу мощности тока и подставим в неё формулу сопротивления
Найдём длину провода, умножив диаметр нагревателя на π (получим длину окружности нагревателя) и на количество витков. Подставим в формулу мощности тока
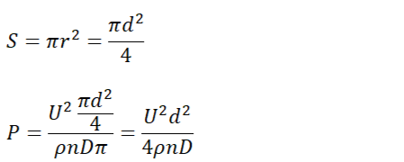
Площадь поперечного сечения провода найдём по формуле площади круга, заменив радиус на половину диаметра. Подставим эту формулу в формулу выше
Теперь выразим искомый диаметр
Остается подставить числа и найти ответ
