Как рассчитать отношение мощностей в неоднородной цепи по закону Ома?
Электродинамика. Постоянный электрический ток: Закон Ома для неоднородного участка цепи и замкнутой (полной) цепи. Расчёт отношения мощностей
Научитесь определять отношение мощностей, развиваемых на разных участках неоднородной электрической цепи, используя закон Ома для полной цепи. В статье объясняется, как соотносятся мощности на внешнем сопротивлении и внутреннем сопротивлении источника тока, а также как влияет распределение напряжения на эти параметры. Мы разберем задачу с подробным решением, чтобы показать, как правильно рассчитать отношение мощностей в различных условиях. Этот материал поможет вам глубже понять принципы работы электрических цепей и успешно решать физические задачи
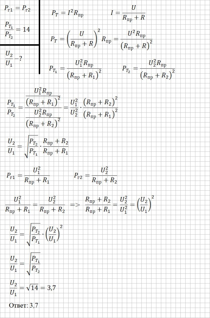
В двух режимах работы линии электропередачи, которым соответствуют определённые значения напряжения генератора (U₁ и U₂) и сопротивлений нагрузки (R₁ и R₂), отношение потерь мощности на проводах линии составляет P₁/P₂=14. Найди отношение напряжений генератора U₂/U₁, учитывая постоянность значения его мощности.
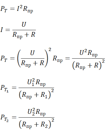
Преобразуем формулу потери мощности, подставив силу тока и рассчитаем для каждого режима
Разделим формулы друг на друга, выразив искомое отношение
По условию задачи, значения мощности генератора постоянно, значит, запишем формулы для каждого режима, приравняем и преобразуем
Подставим полученное соотношение в отношение напряжений и найдём конечную формулу для искомой величины
Как обычно, объемное решение компенсируется скромным расчетом)
