Как рассчитать разность потенциалов в цепи постоянного тока? (1)
Электродинамика. Постоянный электрический ток: Расчёт электрических цепей постоянного тока. Задание на расчёт разности потенциалов (1)
Научитесь определять разность потенциалов между различными точками электрической цепи постоянного тока, используя закон Ома и принципы расчета сложных цепей. В статье объясняется, как учитывать сопротивление каждого участка цепи, распределение тока и влияние внутреннего сопротивления источника. Мы разберем задачу с подробным решением, чтобы показать, как правильно рассчитать разность потенциалов в разных конфигурациях цепей. Этот материал поможет вам успешно освоить основы работы электрических цепей и справиться с физическими задачами
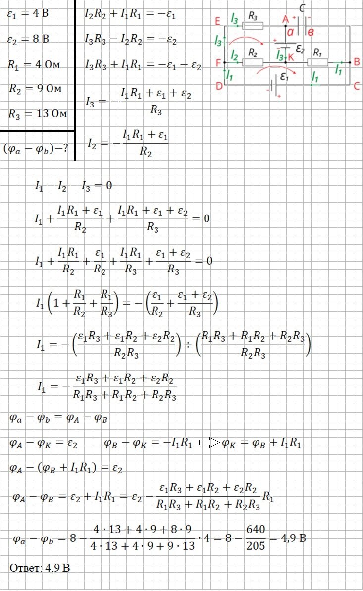
Рассчитай разность потенциалов a−b, учитывая физические параметры электрической схемы: ε₁=4 В, ε₂=8 В, R₁=4 Ом, R₂=9 Ом, R₃=13 Ом.
В данной задаче используется такой же контур, как и здесь. Поэтому до определенного момента решение будет похожим, разница в искомых величинах. Изобразим направления обхода контуров и сил токов
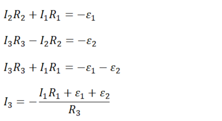
Запишем второе уравнение Кирхгофа с учётом знаков для контуров DFBC и FEAK, а затем преобразуем, выразив I₃.
Из второго уравнения Кирхгофа для контура DFBC выразим I₂
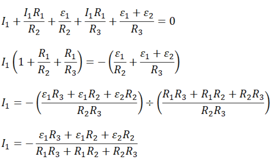
Запишем первое уравнение Кирхгофа с учётом знаков для узла F и подставим в него выраженные ранее I₂ и I₃.
Выразим силу тока I₁.
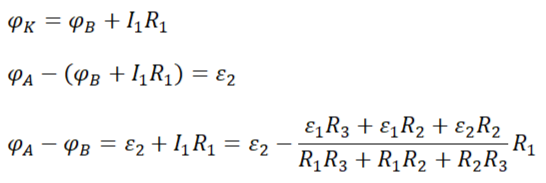
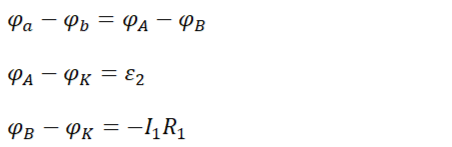
Разность потенциалов между точками a и b эквивалентна разности потенциалов между узлами A и B. Запишем закон Ома для неоднородного участка A–K и для однородного участка B–K
Выполним преобразования, выразив потенциал в точке К из последней формулы и подставив в предпоследнюю, а затем подставим вместо силы тока I₁ её формулу
Можно было бы ещё преобразовать, но это не упростит расчёты. Остается подставить числовые значения и посчитать
