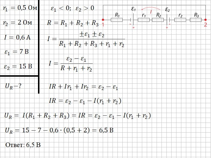
Как рассчитать суммарное падение напряжения в неоднородной электрической цепи?
Электродинамика. Постоянный электрический ток: Закон Ома для неоднородного участка цепи. Расчёт суммарного падения напряжения
Научитесь определять суммарное падение напряжения в неоднородной цепи, используя закон Ома. В статье объясняется, как учитывать различные сопротивления на разных участках цепи и как их комбинация влияет на общее падение напряжения. Мы разберем задачу с пошаговым решением, чтобы продемонстрировать практическое применение закона Ома для сложных цепей. Этот материал поможет вам глубже понять принципы работы электрических цепей и успешно решать связанные с ними задачи
Найди общее падение напряжения на активных сопротивлениях источников тока, учитывая физические параметры электрической схемы и пренебрегая сопротивлением соединительных проводов: r₁=0,5 Ом, r₂=2 Ом, I=0,6 А, ε₁=7 В, ε₂=15 В.
Изобразим физическую ситуацию задачи, выбрав направление тока против часовой стрелки
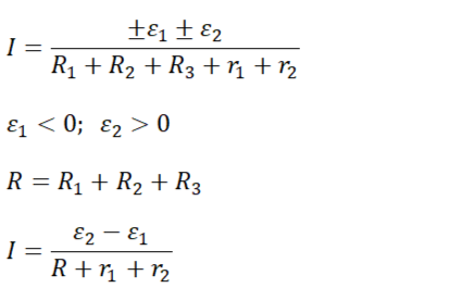
Общее сопротивление представляет собой сумму сопротивлений. Запишем закон Ома для замкнутой (полной) цепи, учитывая это.
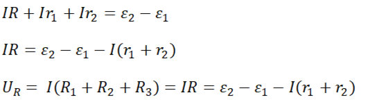
Общее падение напряжения на активных сопротивлениях равно произведению силы тока на сумму сопротивлений. Выразим IR из закона Ома и найдём искомое падение напряжения
Остается подставить числовые значения и решить задачу
