Как рассчитать расстояние между интерференционными полосами в опыте Юнга: пошаговое решение задачи по волновой оптике
Оптика: Волновая оптика Интерференция света. Задание на расчёт расстояния в опыте Юнга
В статье разбирается задача на определение расстояния между интерференционными полосами в классическом опыте Юнга. Мы объясним, как возникает интерференционная картина при прохождении света через две щели, и покажем, как использовать формулы для расчёта расстояния между светлыми или тёмными полосами. Пошаговое решение с формулами и комментариями поможет вам легко усвоить эту важную тему волновой оптики. Материал будет полезен школьникам, студентам и всем, кто изучает физику или готовится к экзаменам.
В эксперименте, повторяющем опыт Юнга (λ=0,54 мкм), получили интерференционную картину, где ширина полос составляет 1,5 мм. Определи расстояние от точечных щелей до экрана, если щели удалены друг от друга на 0,7 мм.
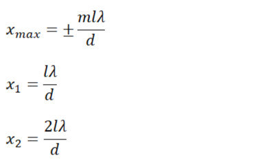
В опыте Юнга две щели являются когерентными источниками. Запишем формулу координаты максимума интенсивности для m₁ и m₂
Знак «±» в формуле означает симметричное относительно начала координат расположение интерференционных полос на экране, поэтому использовали только знак «+».
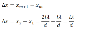
Ширина интерференционной полосы определяется как разность координат соседних максимумов, которые мы уже нашли
Осталось только выразить искомое расстояние. Запишем решение и ответ
