Как рассчитать работу по изменению площади поверхности при фазовых переходах?
Основы термодинамики: Агрегатные состояния вещества. Фазовые переходы. Расчёт работы по изменению площади поверхности
Научитесь определять работу, совершаемую при изменении площади поверхности раздела фаз, используя понятие поверхностного натяжения. В статье объясняется связь между работой, коэффициентом поверхностного натяжения и изменением площади (). Приводятся необходимые формулы для расчета работы в различных фазовых переходах, а также разбирается задача с подробным решением. Этот материал поможет вам глубже понять основы агрегатных состояний вещества и успешно справиться с физическими задачами
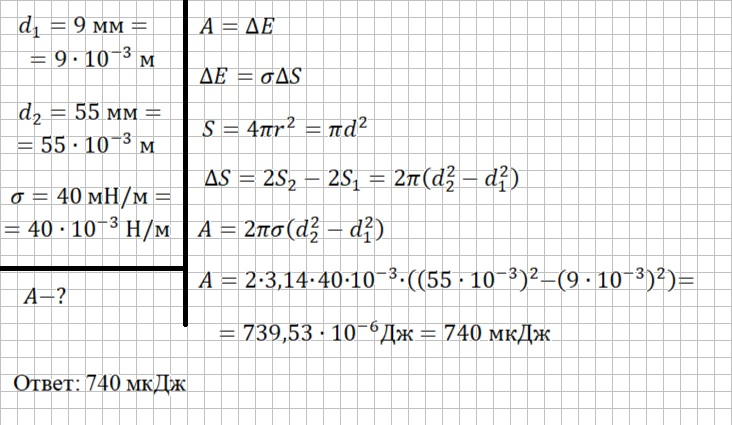
Задача
При надувании мыльного пузыря его диаметр изменился с 9 мм до 55 мм. Рассчитай совершённую в этом изотермическом процессе работу, учитывая значение поверхностного натяжения раствора мыла 40 мН/м.
В данной задаче рассматривается явление поверхностного натяжения в жидкостях. Необходимо найти совершённую работу, которая в изотермическом процессе равна изменению энергии взаимодействия между молекулами в поверхностном слое. Запишем это
Запишем формулу площади поверхности сферы, необходимо учитывать, что она складывается из наружной и внутренней поверхности, поэтому далее умножаем на 2. Подставим в формулу изменения площади
Подставим в формулу работы и решим задачу
