Как рассчитать работу газа по первому закону термодинамики?
Основы термодинамики: Первый закон термодинамики. Задание на расчёт работы газа
Научитесь определять работу, совершаемую газом, используя первый закон термодинамики и основные принципы механики. В статье объясняется связь между подведенной теплотой, изменением внутренней энергии и работой (). Приводятся необходимые формулы для различных термодинамических процессов, а также разбирается задача с подробным решением. Этот материал поможет вам глубже понять основы термодинамики и успешно справиться с физическими задачами на уроках или при подготовке к экзаменам
Рассчитай совершённую идеальным одноатомным газом работу по изменению его термодинамического состояния из 1 в 2, учитывая, что газ находится в герметичном сосуде без теплообмена и значения физических характеристик — p₁=19 кПа, p₂=3 кПа, V₁=2 л, V₂=4 л.
Запишем уравнение состояния идеального газа (уравнение Менделеева — Клапейрона) для каждого состояния газа, а затем найдём разницу температур.
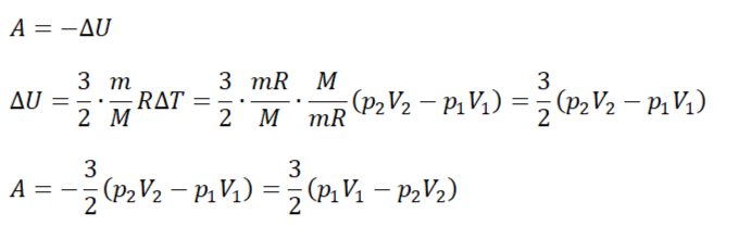
В задаче описано изменение термодинамического состояния газа в результате адиабатного процесса. Согласно первому закону термодинамики для адиабатного процесса, работа газа над внешними силами равна по модулю и противоположна по знаку изменению внутренней энергии. Запишем это, а также формулу изменения внутренней энергии и подставим формулу разницы температур
Подставим числовые значения из задачи и решим её
