Как рассчитать изменение внутренней энергии газа по первому закону термодинамики?
Основы термодинамики: Первый закон термодинамики. Задание на расчёт изменения внутренней энергии газа
Научитесь определять изменение внутренней энергии газа, используя первый закон термодинамики. В статье объясняется связь между подведенной теплотой, выполненной работой и изменением внутренней энергии (). Приводятся необходимые формулы для различных термодинамических процессов, а также разбирается задача с подробным решением. Этот материал поможет вам успешно освоить основы термодинамики и справиться с физическими задачами на уроках или при подготовке к экзаменам
Одноатомный идеальный газ находится в герметичном резервуаре. Рассчитай величину изменения его внутренней энергии в третьем процессе, учитывая значение работы газа A₁=19 кДж и соотношения между модулями его работ: ∣A₁/A₂∣=1,4 и ∣A₂/A₃∣=1,9.
Рассмотрим график и сделаем вывод о процессах:
- процесс 1 — изобарное расширение газа, p=const;
- процесс 2 — изотермическое расширение газа, T=const;
- процесс 3 — адиабатное расширение газа, Q=0.
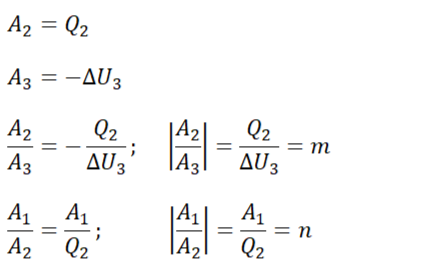
Запишем первый закон термодинамики для второго и третьего процессов и преобразуем соотношение между модулями работ
Выразим Q₂ из первого соотношения и подставим во второе, а затем сможем выразить величину изменения его внутренней энергии в третьем процессе
Подставляем числа и решаем, переводить в СИ нет необходимости
