Как рассчитать количество теплоты в изохорном процессе по первому закону термодинамики?
Основы термодинамики: Первый закон термодинамики. Задание на расчёт количества теплоты (изохорный процесс)
Научитесь определять количество теплоты, подведенное к газу в изохорном процессе (при постоянном объеме), используя первый закон термодинамики. В статье объясняется, как все подведенная теплота расходуется на изменение внутренней энергии (), а также приводятся необходимые формулы для расчета. Разбирается задача с подробным решением, что поможет вам успешно освоить особенности изохорного процесса и справиться с физическими задачами на уроках или при подготовке к экзаменам
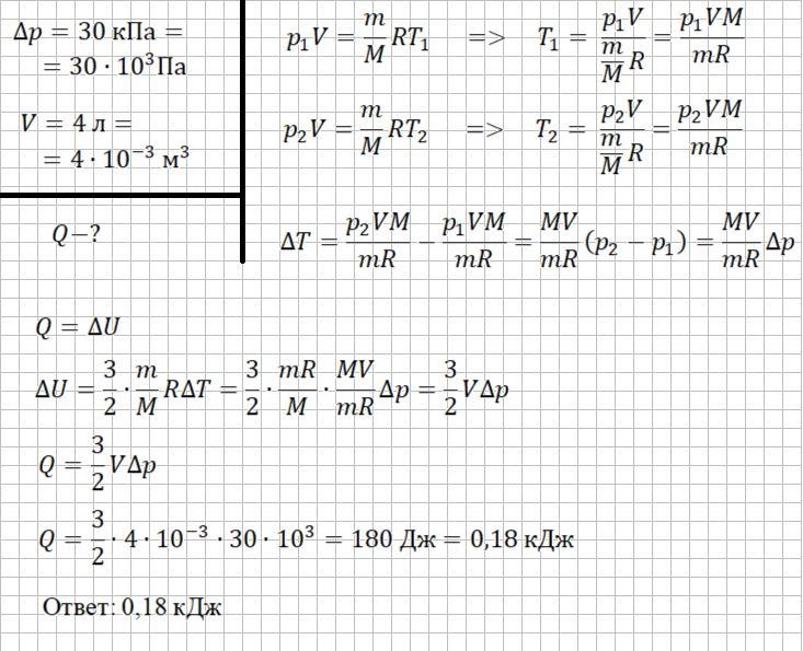
Рассчитай значение количества теплоты, которое получает в термодинамическом процессе 1–2 идеальный одноатомный газ в герметичном резервуаре (4 л), учитывая изменение давления (30 кПа) в этом процессе.
На графике мы видим изменение давления и температуры, объём не меняется. Значит это изохорный процесс. Запишем уравнение Менделеева — Клапейрона для каждого состояния газа, а затем выразим изменение температуры.
Согласно первому закону термодинамики для изохорного процесса, количество теплоты равно изменению внутренней энергии. Запишем это, а также формулу изменения внутренней энергии и подставим формулу изменения температуры
Теперь решить задачу не составит труда.
