Как рассчитать проекцию ускорения при механической работе? Решение задач
Законы сохранения в механике: Механическая работа. Задание на расчёт проекции ускорения
Научитесь определять проекцию ускорения тела на заданную ось в задачах с механической работой. В статье объясняется, как связать работу силы, энергию и ускорение, а также приводятся необходимые формулы для расчета проекции ускорения. Разбирается практическая задача с пошаговым решением, что поможет вам глубже понять законы сохранения в механике и успешно справиться с физическими задачами
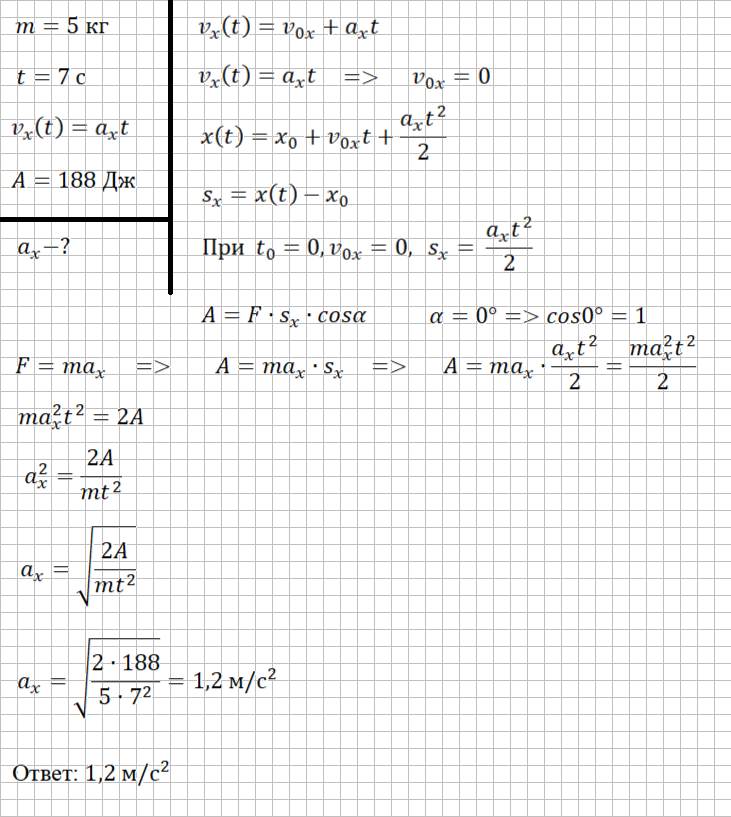
При горизонтальном перемещении объекта массой 5 кг вдоль линии действия силы за промежуток времени 7 c совершается механическая работа 188 Дж. Рассчитай значение проекции ускорения тела, учитывая зависимость vₓ(t)=aₓt (СИ).
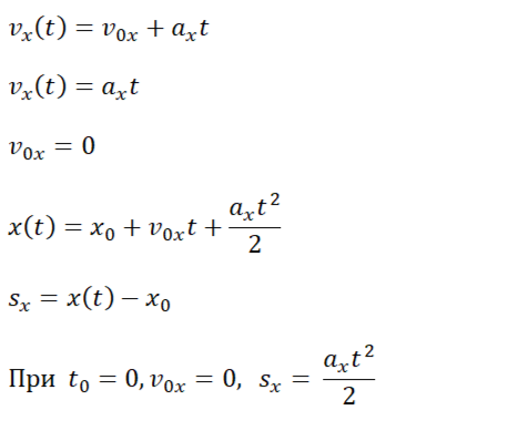
Для решения данной задачи необходимо вспомнить кинематику, а именно, уравнения зависимости проекции скорости от времени и зависимости координаты от времени при равнопеременном движении. Тогда, сравнивая с уравнением в условии задачи, получим начальную скорость, а значит запишем формулу перемещения
Запишем формулу механической работы, угол в данной задаче равен нулю, значит косинус равен одному. Вместо силы запишем следствие из второго закона Ньютона в скалярной форме.
Остается подставить формулу перемещения и выразить ускорение
