Как рассчитать механическую работу в физике? Практические примеры решения задач (2)
Законы сохранения в механике: Механическая работа. Задание на расчёт механической работы (2)
Узнайте, как определить механическую работу силы при перемещении тела. В статье объясняется связь между работой, силой и перемещением, приводятся необходимые формулы (включая ) и разбирается задача с подробным решением. Этот материал поможет вам успешно освоить тему механической работы и подготовиться к экзаменам или урокам физики
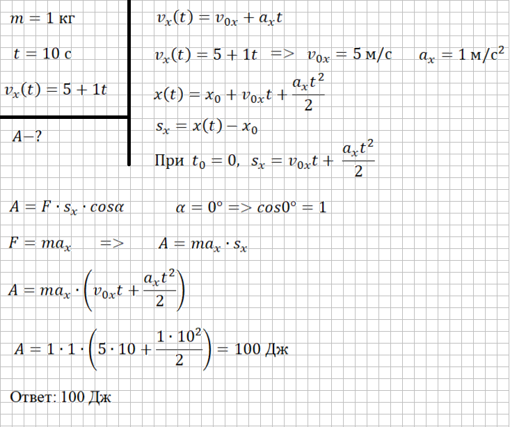
Найди работу силы за промежуток времени 10 c при горизонтальном перемещении объекта (1 кг) вдоль линии действия силы, учитывая зависимость vₓ(t)=5+1t (СИ).
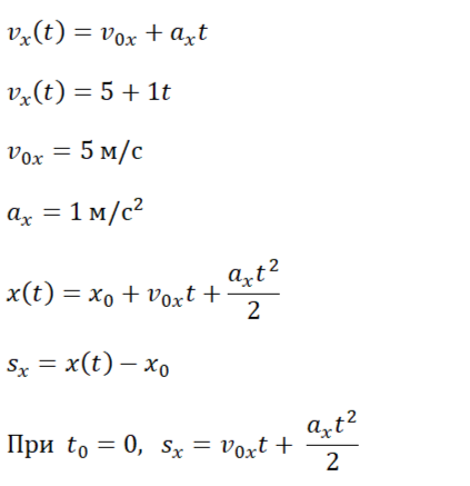
Так же как и здесь, для решения данной задачи необходимо вспомнить кинематику, а именно, уравнения зависимости проекции скорости от времени и зависимости координаты от времени при равнопеременном движении. Тогда, сравнивая с уравнением в условии задачи, получим начальную скорость и ускорение, а значит, запишем формулу перемещения
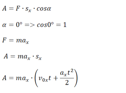
Запишем формулу механической работы, угол в данной задаче равен нулю, значит, косинус равен одному. Вместо силы запишем следствие из второго закона Ньютона в скалярной форме, вместо перемещения — полученную ранее формулу
Подставим числовые данные и решим задачу
