Как рассчитать разность потенциалов в неоднородной электрической цепи по закону Ома?
Электродинамика. Постоянный электрический ток: Закон Ома для неоднородного участка цепи и полной цепи. Расчёт разности потенциалов
Научитесь определять разность потенциалов на разных участках неоднородной электрической цепи, используя закон Ома для полной цепи. В статье объясняется, как учитывать сопротивление каждого элемента цепи, внутреннее сопротивление источника тока и распределение напряжения. Мы разберем задачу с подробным решением, чтобы продемонстрировать, как правильно применять закон Ома для расчета разности потенциалов. Этот материал поможет вам глубже понять принципы работы электрических цепей и успешно решать физические задачи
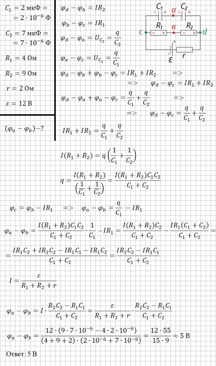
Определи разность потенциалов между точками a и b, пренебрегая сопротивлением соединительных проводов и учитывая физические параметры электрической цепи: ε=12 В, r=2 Ом, R₁=4 Ом, R₂=9 Ом, C₁=2 мкФ, C₂=7 мкФ.
Расставим знаки «+» и «-» с учётом алгоритмов расстановки знаков на конденсаторах, ЭДС, активных сопротивлениях и введём точки c и d.
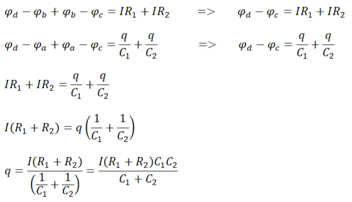
Запишем закон Ома для однородного участка цепи, содержащего активные сопротивления R₁ и R₂
Учитывая, что конденсаторы соединены последовательно и заряды на них равны, запишем формулу ёмкости конденсаторов
Выполним ряд преобразований: сложим первые две формулы и формулы ёмкостей. На основании равенства левых частей, приравняем правые и выразим заряд.
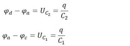
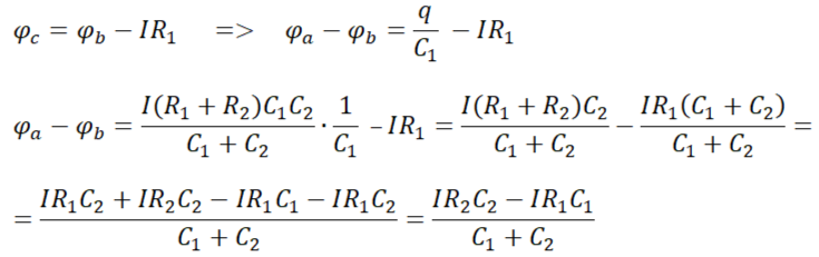
Из закона Ома для однородного участка цепи, содержащего активное сопротивление R₁ выразим потенциал в точке с и подставим в формулу ёмкости второго конденсатора. Затем подставим выраженный ранее заряд
Запишем закон Ома для замкнутой (полной) цепи и подставим в формулу выше
Произведём расчёты и запишем ответ
