Как рассчитать ЭДС в замкнутой цепи по закону Ома для неоднородного участка?
Электродинамика. Постоянный электрический ток: Закон Ома для неоднородного участка цепи и замкнутой (полной) цепи. Задание на расчёт ЭДС
Научитесь определять электродвижущую силу (ЭДС) источника тока в замкнутой электрической цепи, используя закон Ома и учитывая особенности неоднородных участков. В статье объясняется, как связана ЭДС с падением напряжения на внешней цепи и внутренним сопротивлением источника. Мы разберем задачу с подробным решением, чтобы показать, как применять закон Ома для расчета ЭДС в различных условиях. Этот материал поможет вам глубже понять основы работы электрических цепей и успешно справляться с физическими задачами
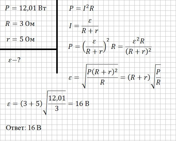
Задача
Определи ЭДС источника тока (r=5 Ом) в замкнутом электрическом контуре с нагрузкой (R=3 Ом), учитывая, что при замыкании контура значение полезной мощности составляет 12,01 Вт.
Несмотря на кажущуюся сложность, задача решается буквально в два действия. Нам понадобится формула полезной мощности, в которую подставим закон Ома для замкнутой (полной) цепи, а затем выразим ЭДС
