Как рассчитать изменение сопротивления при нагревании плазмы?
Электрический ток в металлах, электролитах, полупроводниках, газах и вакууме. Плазма. Расчёт изменения сопротивления при нагревании
Научитесь определять, как меняется сопротивление плазмы при повышении температуры, используя основы физики плазмы и электропроводности. В статье объясняется зависимость сопротивления от температуры, плотности зарядов и других параметров плазменного состояния вещества. Мы разберем задачу с подробным решением, чтобы показать, как учитывать влияние нагрева на электрические свойства плазмы. Этот материал поможет вам глубже понять особенности плазмы и успешно решать связанные с ней физические задачи
Задача
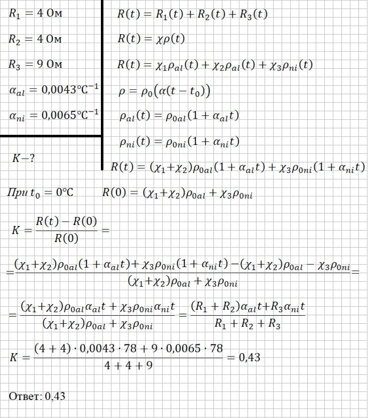
Цепь состоит из трёх последовательно подключённых резисторов номиналами R₁=4 Ом, R₂=4 Ом, R₃=9 Ом. R₁ и R₂ — алюминиевые, R₃ — из никеля. Определи относительное изменение сопротивления такой цепи, если проводники нагреть до температуры 78°С. Температурный коэффициент сопротивления никеля — 0.0065°С⁻¹, алюминия — 0.0043°С⁻¹. Начальная температура резисторов — 0°C.
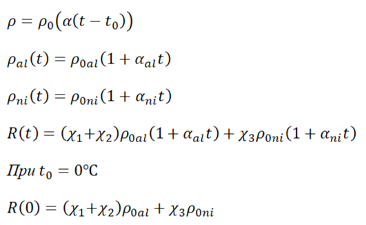
В задаче рассматривается изменение сопротивления проводника при нагревании. Запишем формулу общего сопротивления последовательного соединения проводников при температуре t и подставим формулы сопротивления пропорционально удельному сопротивлению.
Запишем формулу зависимости удельного сопротивления от температуры и перепишем общее сопротивление с учетом начальной температуры
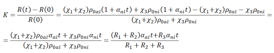
Запишем относительное изменение сопротивления и подставим полученные ранее формулы, а затем преобразуем
Решим задачу, подставив числовые данные
