Как рассчитать изменение массы газа по законам молекулярно-кинетической теории?
Основы МКТ: Физическое описание систем с большим числом частиц. Задание на расчёт изменения массы газа
Научитесь определять изменение массы газа в физических системах, используя принципы молекулярно-кинетической теории. В статье объясняются ключевые понятия, приводятся необходимые формулы и разбирается практическая задача с подробным решением. Материал поможет глубже понять основы термодинамики и успешно справиться с заданиями на уроках, при подготовке к ЕГЭ или выполнении домашних работ по физике
Разрежённый газ находится под поршнем в сосуде с нарушенной непроницаемостью его стенок. Рассчитай, как изменится масса газа, учитывая значения физических параметров на изобаре: V₁=9 л, V₂=12 л, T₁=293 К, T₂=601 К.
Запишем уравнение Менделеева — Клапейрона для каждого состояния газа. По условию, изменяются температура, масса и объём, остальные параметры газа не изменяются. Выразим массу для каждого состояния
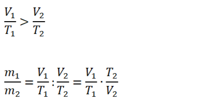
Очевидно, что изменение массы зависит от отношения объёма к температуре, при чем это отношение больше в первом состоянии, значит масса уменьшается
Подставим числа из задачи и узнаем во сколько раз уменьшилась масса
Единицы измерения полностью сокращаются, поэтому если они одинаковы, нет необходимости переводить в СИ
