Как рассчитать изменение температуры газа по законам молекулярно-кинетической теории?
Основы МКТ: Физическое описание систем с большим числом частиц. Задание на расчёт изменения температуры газа
Узнайте, как определить изменение температуры газа с помощью формул молекулярно-кинетической теории и закона сохранения энергии. В статье объясняются ключевые принципы, приводятся необходимые уравнения (включая формулу внутренней энергии газа) и разбирается практическая задача с подробным решением. Материал поможет успешно подготовиться к экзаменам по физике, в том числе ЕГЭ, и лучше понять термодинамические процессы
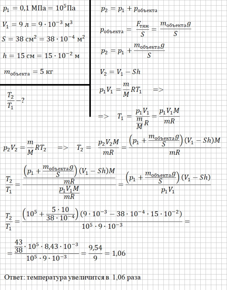
Рассчитай, как изменилась температура разрежённого воздуха в цилиндрическом сосуде (9 л) с поршнем, площадь сечения которого 38 см², учитывая следующие изменения: на поршень поставили объект массой 5 кг и поршень сместился с равновесного положения на 15 см. Атмосферное давление — 0,1 МПа. Массой поршня пренебречь.
Сначала нужно разобраться какие параметры газа изменяются при изменении его состояния и как:
- температура, это изменение мы и должны найти;
- давление — в новом состоянии добавилось давление, оказываемое положенным на поршень объектом (отношение силы тяжести объекта к площади сечения поршня);
- объём — он уменьшился на величину объёма пространства при смещении поршня (площадь сечения поршня на величину смещения).
Запишем это:
Запишем уравнение Менделеева-Клапейрона для каждого состояния газа и выразим температуру, подставив формулы изменения давления и объёма в состоянии 2
Найдем изменение температуры делением Т₂ на Т₁
Далее подставим числовые данные задачи и сделаем вывод о характере изменения температуры: если получившееся число больше единицы, то она увеличилась.
Можно поступить и по-другому — найти величину каждой температуры, сравнить какая больше и затем найти отношение.
