Как рассчитать молярную массу смеси газов по молекулярно-кинетической теории?
Основы МКТ: Физическое описание систем с большим числом частиц. Расчёт молярной массы смеси газов
Научитесь определять молярную массу смеси газов с помощью формул и принципов молекулярно-кинетической теории. В статье подробно объясняются основные понятия, приводятся необходимые уравнения и разбирается практическая задача с пошаговым решением. Материал поможет успешно подготовиться к экзаменам, в том числе ЕГЭ, и лучше понять физические основы поведения газовых смесей
Задача
Найди молярную массу смеси двух разрежённых газов 1 и 2 в закрытой ёмкости, учитывая их физические характеристики: массы — m₁=8 г и m₂=14 г, молярные массы — M₁=2 г/моль и M₂=4 г/моль.
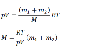
Запишем уравнение состояния идеального газа (уравнение Менделеева — Клапейрона) для смеси газов и выразим молярную массу
Далее запишем уравнение уравнение Менделеева — Клапейрона для каждого газа. Выразим давление в каждом случае и сложим по закону Дальтона
Подставим теперь формулу давления в формулу молярной массы смеси газов и решим задачу
В данной задаче нет необходимости переводить в СИ, так как все данные и ответ используют одни и те же единицы измерения.
