Как найти ускорение системы тел по законам Ньютона? Практические примеры решения
Динамика: Законы Ньютона. Задача на поиск ускорения системы тел
Изучите методы расчета ускорения системы взаимодействующих тел с помощью законов Ньютона. В статье объясняется, как составлять уравнения динамики для каждой части системы, приводятся необходимые формулы и разбирается задача с подробным решением. Этот материал станет полезным для освоения темы динамики, подготовки к ЕГЭ или выполнения сложных заданий по физике
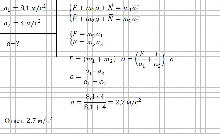
Локомотив придаёт пустому вагону ускорение а₁=8,1 м/с², а нагруженному вагону — ускорение а₂=4 м/с². Определи ускорение системы, если локомотив будет везти оба вагона. Трением пренебреги.
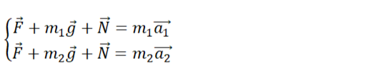
Представим, что локомотив движется вдоль воображаемой оси ОХ. Запишем следствие из второго закона Ньютона в векторном виде, где первое уравнение показывает силы относительно пустого вагона, а второе относительно нагруженного
Силы тяжести и силы реакции опоры перпендикулярны оси ОХ, значит в проекции система принимает следующий вид
Из каждого уравнения можно выразить массу, так как от их суммы зависит ускорение локомотива, тянущего оба вагона. Подставим вместо массы отношения силы к ускорениям и решим задачу
