Как рассчитать скорость тела с учетом силы трения?
Динамика: Силы трения. Задание на расчёт скорости тела
Научитесь определять скорость движения тела, учитывая влияние силы трения. В статье объясняется, как применять законы динамики для расчета скорости при различных типах трения (покоя или скольжения), приводятся необходимые формулы и разбирается задача с подробным решением. Этот материал станет полезным для изучения темы силы трения, подготовки к ЕГЭ по физике или выполнения домашних заданий
Ящик (9 кг), стоящий на полу, начинают толкать с силой 37,5 Н, направленной вдоль пола. Найди скорость ящика спустя 4 c после начала движения, если величина коэффициента трения между ящиком и полом составляет 0,25
Изобразим физическую ситуацию задачи
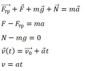
Запишем в векторном виде следствие из второго закона Ньютона и уравнение скорости, спроецируем на оси
Запишем зависимость силы трения от силы реакции опоры и преобразуем уравнения проекций
Выразим ускорение и подставим в формулу скорости
Подставим числовые значения и решим задачу
