Как рассчитать силу упругости при различных значениях удлинения пружины?
Динамика: Сила упругости. Задание на расчёт силы при различных величинах удлинения
Научитесь определять силу упругости для разных значений удлинения пружины, используя закон Гука. В статье подробно объясняется зависимость силы от деформации, приводятся необходимые формулы и разбираются задачи с различными примерами удлинения. Этот материал поможет вам глубже понять принципы работы силы упругости и успешно справиться с заданиями по физике, включая подготовку к ЕГЭ
Длина нерастянутой пружины 100 мм. Для того чтобы увеличить её до 125 мм, необходимо приложить силу 12 Н. Рассчитай, какую силу необходимо приложить, сжимая недеформированную пружину на 5 мм.
Введём ось ОХ и изобразим физическую модель задачи
Согласно следствию из второго закона Ньютона, сумма сил в обоих случаях равна нулю. В проекции на ось ОХ это означает их равенство.
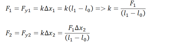
Так как мы имеем дело с одной и той же пружиной, то коэффициент упругости в обоих случаях постоянен. Запишем закон Гука для случая растяжения и для случая сжатия, выразим коэффициент упругости из первой формулы и подставим во вторую
Подставим числовые значения и решим задачу
