Как рассчитать удлинение пружины под действием электростатических сил?
Электродинамика. Электростатика: Электростатическое поле. Задание на расчёт удлинения пружины
Узнайте, как определить удлинение пружины, если на нее воздействуют силы электростатического происхождения. В статье объясняется, как электрические силы влияют на деформацию пружины и как это соотносится с законом Гука. Мы разберем, как учитывать взаимодействие между зарядами и механические свойства пружины для расчета ее удлинения. Материал поможет вам глубже понять связь между электростатикой и механикой, а также успешно решать подобные задачи по физике
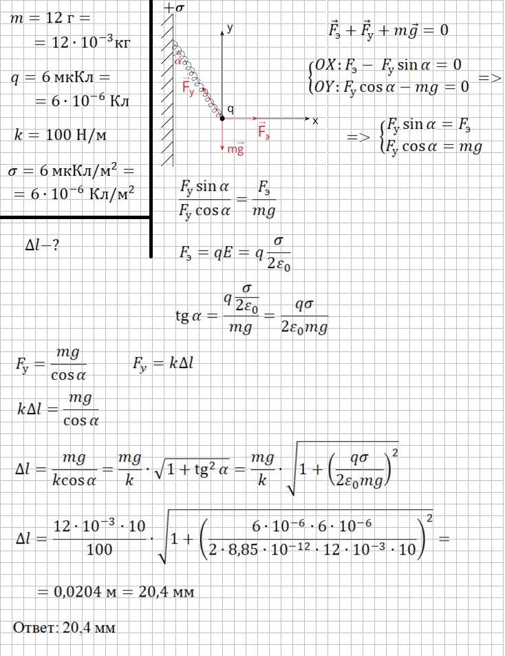
Заряженное тело (m=12 г, q=6 мкКл) закреплено на вертикальной невесомой пружине (k=100 Н/м). Рассчитай удлинение пружины при помещении данной системы в электрическое поле бесконечной пластины с равномерно распределённым зарядом (σ=6 мкКл/м²).
Изобразим физическую ситуацию задачи
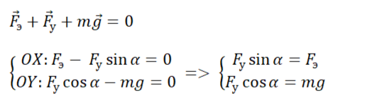
Запишем следствие из второго закона Ньютона для точечного заряда и спроецируем на оси
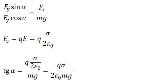
Поделим друг на друга левые и правые части. Запишем формулу электрической силы и преобразуем, подставив формулу напряжённости электростатического поля равномерно заряженной бесконечной плоскости. Подставим в отношение проекций и преобразуем
Из проекции на ось OY выразим силу упругости, и приравняем к закону Кулона
Выразим удлинение из последней формулы и выполним преобразование с помощью тригонометрической формулы, затем подставим вместо тангенса получившееся выражение из отношения проекций
Подставим числовые данные из задачи и решим её
