Как рассчитать частоту вращения конуса с телом, находящимся в покое?
Динамика: Силы трения. Задание на расчёт частоты вращения конуса с покоящимся телом
Научитесь определять частоту вращения конуса, при которой тело остается неподвижным на его поверхности благодаря силе трения. В статье объясняется, как учитывать угол наклона конуса, коэффициент трения и центростремительное ускорение. Приводятся необходимые формулы и разбирается задача с пошаговым решением. Этот материал станет полезным для изучения динамики вращательного движения и подготовки к экзаменам по физике
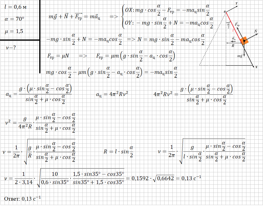
На вращающейся конической поверхности, угол при вершине которой равен 70° и ось вращения которой совпадает с осью симметрии, находится небольшая монетка. Определи максимальную частоту вращения, при которой сохраняется неизменным расстояние 0,6 м от центра линии соприкосновения монетки с поверхностью конуса до его вершины. Принять значение коэффициента трения между грузом и поверхностью равным 1,5.
Изобразим систему сил
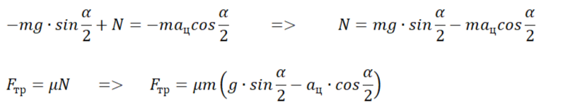
Запишем следствие из второго закона Ньютона и спроецируем на оси
Если частота вращения максимальна, то сила трения покоя, действующая на тело, достигает максимального значения. Выразим силу реакции опоры из проекции на ось OY и подставим в формулу силы трения
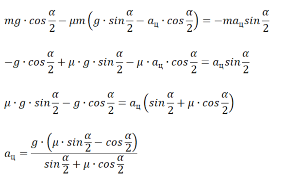
Подставим силу трения в проекцию на ось ОХ и выразим ускорение
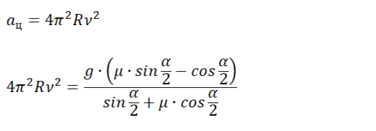
Запишем формулу для центростремительного ускорения через частоту вращения и приравняем с формулой выше.
Выразим искомую частоту
Выразим радиус траектории груза R из прямоугольного треугольника с гипотенузой, равной расстоянию, и катетом R. Подставим числовые данные из задачи и решим её
