Как рассчитать расстояние от изображения до сферического зеркала: пошаговое решение задачи по геометрической оптике
Оптика: Законы геометрической оптики. Задание на расчёт расстояния от изображения предмета до сферического зеркала
В статье разбирается задача на определение расстояния от изображения предмета до сферического зеркала. Мы объясним основные законы геометрической оптики, такие как формула сферического зеркала и правило знаков для расстояний. Подробно разберём, как строится изображение в зеркале, и покажем, как использовать формулы для расчёта положения изображения. Пошаговое решение с формулами и комментариями поможет вам легко усвоить эту важную тему. Материал будет полезен школьникам, студентам и всем, кто изучает физику или готовится к экзаменам.
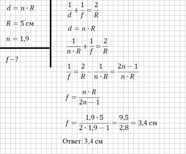
Задача
Найди расстояние от изображения предмета до сферического зеркала (R=5 см), учитывая, что предмет находится от зеркала на расстоянии 1,9R
Примем, что коэффициент при R равен n. Запишем формулу получения изображения предмета в сферическом зеркале и выразим фокусное расстояние
