Расчет силы через закон сохранения импульса: решение задач
Законы сохранения в механике: Импульс. Расчёт силы
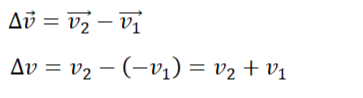
Узнайте, как рассчитать силу, действующую на тело, используя закон сохранения импульса. В статье объясняется связь между изменением импульса, временем взаимодействия и величиной силы. Приводятся необходимые формулы, включая основное соотношение , а также разбирается задача с подробным решением. Этот материал поможет вам успешно освоить законы сохранения в механике и справиться с задачами по физике
