Как рассчитать мощность машины по механической работе?
Законы сохранения в механике: Механическая работа. Задание на расчёт мощности машины
Научитесь определять мощность машины, используя концепцию механической работы и времени выполнения задачи. В статье объясняется связь между работой, временем и мощностью (), а также приводятся примеры расчетов для различных ситуаций. Разбирается практическая задача с пошаговым решением, что поможет вам успешно справиться с заданиями на уроках физики или при подготовке к ЕГЭ
Рассчитай развиваемую машиной (1.4 т) за 4 мин мощность при её движении вверх в гору на 8 км, если коэффициент трения колёс машины с дорожным покрытием равен 0,66 и на каждые 100 м дороги уклон составляет 4 м.
Изобразим физическую ситуацию задачи
Запишем следствие из второго закона Ньютона для инерциальной системы отсчёта и взаимосвязь между силой тяги и результирующей сил. Приравняем формулы и спроецируем на оси координат
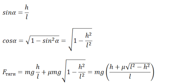
Выразим из проекции на ось OY силу реакции опоры и подставим в формулу для силы трения скольжения. Затем получившуюся формулу подставим в проекцию на ось ОХ
Так как угол уклона нам неизвестен, вспоминаем алгебру и геометрию. Дорога — гипотенуза, высота уклона — противолежащий катет, значит найдем синус как отношение высоты уклона к длине дороги. Косинус найдем из основного тригонометрического тождества. Преобразуем формулу силы тяги
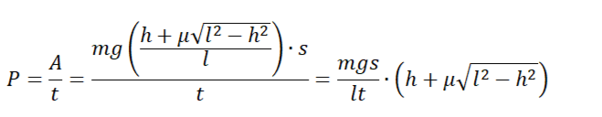
Запишем формулу работы силы тяги, угол между направлениями векторов силы и перемещения в данной задаче равен нулю, значит косинус равен одному. Вместо силы тяги запишем получившуюся выше формулу
Теперь, зная работу, можно рассчитать мощность
Подставим числовые значения из условия и решим задачу
