Как рассчитать силу с помощью закона сохранения импульса?
Законы сохранения в механике: Импульс. Задание на расчёт силы
Научитесь определять величину силы, используя закон сохранения импульса и основные принципы механики. В статье объясняется, как связать изменение импульса с действующей силой и временем взаимодействия. Приводятся необходимые формулы, включая соотношение между импульсом и силой, а также разбирается задача с пошаговым решением. Этот материал станет отличным помощником для изучения законов сохранения и подготовки к экзаменам по физике
Найди модуль силы, действующей в течение 9 с на движущийся по окружности объект массой 4 кг, учитывая, что за данный промежуток времени пройденный им путь оказался равен четверти окружности и его скорость в начальный момент времени равнялась 2 м/с, а в конце указанного промежутка времени — 8 м/c.
Изобразим схематично физическую ситуацию задачи
Запишем скалярные уравнения второго закона Ньютона в импульсной форме и изменения импульса материальной точки. Приравняем их и выразим силу
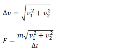
Модуль скорости найдем по теореме Пифагора (см. рисунок) и подставим в формулу силы
Подставим числовые значения и решим задачу
