Как рассчитать работу сил электростатического поля и разность потенциалов?
Электродинамика. Электростатика: Работа сил электростатического поля. Разность потенциалов. Потенциальная энергия
Научитесь определять работу сил электростатического поля, разность потенциалов и потенциальную энергию заряда в электрическом поле. В статье объясняется, как эти величины связаны между собой и как их можно использовать для решения задач по электростатике. Мы разберем практический пример с подробным решением, чтобы показать, как учитывать расстояние между зарядами и особенности электрического поля. Этот материал поможет вам глубже понять основы электродинамики и успешно справиться с физическими задачами
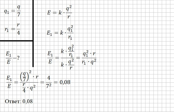
Заряд двух точечных тел уменьшили в 7 раз, а расстояние уменьшили в 4 раза. Определи, во сколько раз изменится их потенциальная энергия взаимодействия.
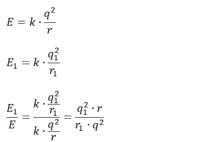
Итак, два заряда находятся на расстоянии r и обладают потенциальной энергией взаимодействия E, которая изменяется после изменения величины зарядов и расстояния между ними. Запишем формулу потенциальной энергии взаимодействия для каждого случая, а затем поделим левые и правые части
Подставим выражения из условия и решим задачу
