Как рассчитать работу по изменению ёмкости конденсатора?
Электродинамика. Электростатика: Электроёмкость. Энергия электрического поля. Задание на расчёт работы по изменению ёмкости конденсатора
Научитесь определять работу, совершаемую при изменении ёмкости конденсатора, например, при смещении обкладок или вставке диэлектрика. В статье объясняется, как связаны между собой энергия электрического поля, разность потенциалов и ёмкость, а также как эти параметры влияют на выполненную работу. Мы разберем задачу с подробным решением, чтобы продемонстрировать практическое применение этих принципов. Этот материал поможет вам глубже понять физические основы работы конденсаторов и успешно решать связанные задачи
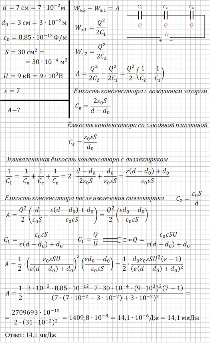
Две проводящие пластины площадью S=30 см² каждая расположены на расстоянии d=7 см друг от друга. Между ними на равном расстоянии от каждой из пластин расположена пластинка из слюды (ε=7) толщиной d₀=3 см, площадь поверхностей которой равна площади пластин. Пластины подключили к источнику тока с напряжением U=9 кВ и через некоторое время отключили. Найди, какую работу необходимо совершить, чтобы полностью удалить слюдяную пластинку. Массой пластинки пренебречь.
Конденсатор, частично заполненный диэлектриком, может быть представлен как система из трёх конденсаторов, изобразим эквивалентную схему
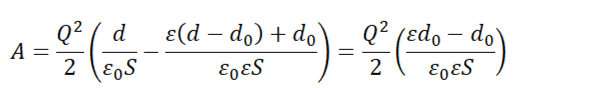
Так как конденсатор после зарядки отключён от источника тока, то заряд на нём не изменяется. Запишем закон изменения энергии для конденсатора и подставим в него формулу энергии конденсатора для каждого состояния
Теперь необходимо найти емкости С₁ и С₂
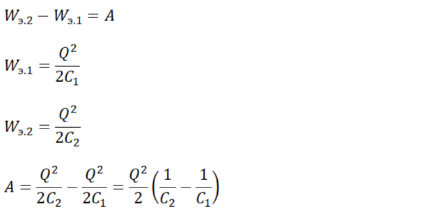
Подставим формулы ёмкости С₁ и С₂ в формулу работы
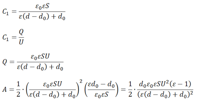
Запишем выражение для ёмкости конденсатора в первом состоянии и найдём заряд, затем подставим его в формулу работы
Подставляем известные величины и решаем
Важно не запутаться в расчётах, поэтому они здесь подробно расписаны.
