Как рассчитать потенциал заряда в конечной точке электрического поля?
Электродинамика. Электростатика: Работа сил электростатического поля. Разность потенциалов. Расчёт потенциала заряда в конечной точке
Научитесь определять потенциал заряда в конкретной точке электростатического поля, используя концепции работы сил поля и разности потенциалов. В статье объясняется, как движение заряда влияет на его потенциал, и как можно найти значение потенциала в конечной точке пути. Мы разберем пошаговое решение типовой задачи, чтобы продемонстрировать практическое применение этих принципов. Этот материал поможет вам лучше понять основы электростатики и успешно решать задачи по физике
Задача
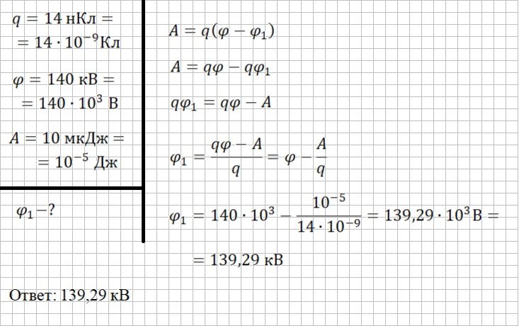
Во время перемещения заряда q=14 нКл в электрическом поле была совершена работа A=10 мкДж. Рассчитай значение потенциала заряда в конечной точке, если в начальной он был равен φ=140 кВ.
В данной задаче заряд q расположен в электрическом поле и имеет потенциал φ в начале его пути, в конце пути потенциал заряда стал равен φ₁. Для перемещения была произведена работа A. Запишем формулу работы по перемещению точечного заряда в электрическом поле
Раскроем скобки и выразим φ₁
Мы получили искомую величину, значит, можно подставить числа и найти ответ
