Как рассчитать ускорение заряженного тела в электрическом поле конденсатора?
Электродинамика. Электростатика: Электроёмкость. Энергия электрического поля. Расчёт ускорения заряженного тела в поле конденсатора
Научитесь определять ускорение заряженного тела, помещенного в электрическое поле плоского конденсатора. В статье объясняется, как силы электростатического поля влияют на движение тела и как связана разность потенциалов с ускорением частицы. Мы разберем задачу с подробным решением, чтобы продемонстрировать, как комбинировать законы электростатики и динамики для расчета ускорения. Этот материал поможет вам глубже понять взаимодействие между электрическим полем и движущимися зарядами
В заряженном до некоторого напряжения плоском воздушном конденсаторе с горизонтально расположенными обкладками во взвешенном состоянии покоится капля ртути. После отключения от источника обкладки конденсатора соединяют с обкладками незаряженного конденсатора, ёмкость которого в 5 раз(-а) больше. Найди, с каким ускорением после этого будет двигаться капля. Временем переходных процессов пренебречь.
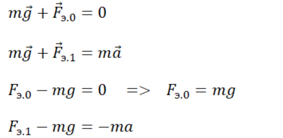
Изобразим систему сил, действующих на капельку ртути в каждом случае.
Запишем следствие из второго закона Ньютона для капельки ртути в каждом случае и спроецируем на ось ОY
Выразим начальный заряд из формулы емкости конденсатора для исходного состояния
Аналогично выразим заряды каждого из конденсаторов во втором состоянии
При присоединении незаряженного конденсатора произойдёт перераспределение заряда между конденсаторами до момента, когда напряжение на них станет равным. Для системы конденсаторов выполняется закон сохранения заряда, подставим в него выраженные ранее заряды, учитывая равенство напряжения и найдём напряжение на конденсаторах во втором состоянии
Запишем выражение для модуля силы, действующей на заряд со стороны электрического поля и преобразуем, подставив выражение для модуля напряжённости однородного электрического поля в конденсаторе, в каждом случае
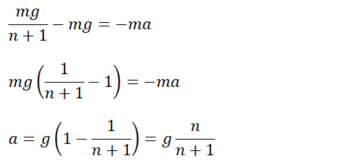
Выразим силу во втором случае, поделив уравнения друг на друга, затем используем равенство из проекции первой силы
Подставим данное выражение во второе уравнение проекции и выразим ускорение
Осталось подставить значение n и найти ответ
