Как рассчитать потенциал электрического поля кольца?
Электродинамика. Электростатика: Работа сил электростатического поля. Разность потенциалов. Расчёт потенциала электрического поля кольца
Научитесь определять потенциал электрического поля, создаваемого заряженным кольцом, в любой точке пространства. В статье объясняется, как распределение зарядов по кольцу влияет на величину потенциала и как учитывать расстояние до точки наблюдения. Мы разберем задачу с подробным решением, чтобы показать, как применять эти принципы для расчета потенциала в различных ситуациях. Этот материал поможет вам глубже понять особенности электростатических полей и успешно справиться с физическими задачами
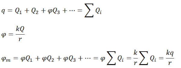
Равномерно заряженный обруч радиуса a с зарядом q, находящимся в точке M, лежащей на его центральной оси O, на расстоянии x=18a от центра создаёт потенциал электрического поля. Рассчитай потенциал электрического поля.
Считать величину φ₀=kq/a известной. (Ответ округли до сотых и представь виде φₘ⋅φ₀.)
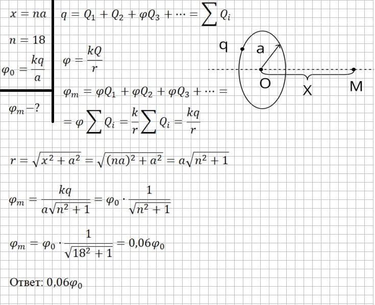
Начнём с того, что обруч с распределённым на неё суммарным зарядом q можно представить как совокупность точечных зарядов Qᵢ, в сумме равных q: q=∑Qᵢ. Значит, для того чтобы найти потенциал электрического поля в точке, требуется по принципу суперпозиции просуммировать потенциал от всех точечных зарядов, распределённых по обручу.
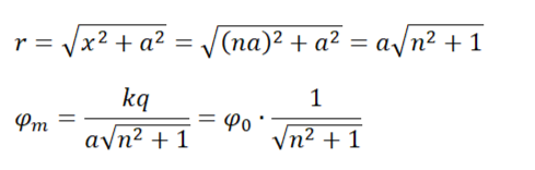
Теперь найдём расстояние от точки M до окружности кольца по теореме Пифагора и подставим в формулу выше
Подставим значение n в формулу и найдём ответ
