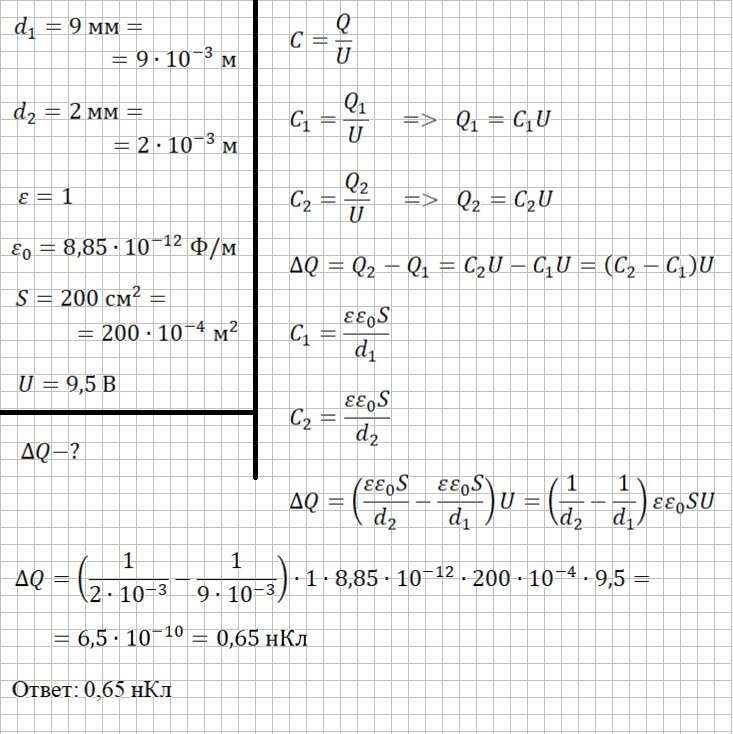
Как рассчитать изменение заряда конденсатора при изменении условий?
Электродинамика. Электростатика: Электроёмкость. Энергия электрического поля. Задание на расчёт изменения заряда конденсатора
Научитесь определять, как меняется заряд на обкладках конденсатора при варьировании параметров, таких как напряжение, ёмкость или вставка диэлектрика. В статье объясняется зависимость заряда от этих факторов и как их изменения влияют на работу конденсатора. Мы разберем задачу с подробным решением, чтобы показать, как применять теоретические знания для расчета изменений заряда. Этот материал поможет вам глубже понять принципы работы конденсаторов и успешно решать связанные с ними физические задачи
Задача
Рассчитай, насколько увеличится заряд плоского конденсатора при уменьшении расстояния между его пластинами, разделёнными воздухом, с d₁=9 мм до d₂=2мм. Площадь обкладок S=200 см², конденсатор подключён к источнику тока с постоянным напряжением U=9,5 В.
Так как конденсатор всё время подключён к источнику тока, напряжение на нём остаётся неизменным, а заряд изменяется, запишем выражение для ёмкости конденсатора
Применим данную формулу для конденсатора в начале и в конце процесса изменения расстояния между обкладками и выразим начальный заряд Q₁ и конечный заряд Q₂
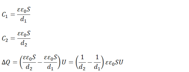
Запишем и преобразуем формулу изменения заряда
Применим формулу электрической ёмкости плоского конденсатора для процесса изменения расстояния между обкладками и подставим в формулу изменения заряда
Получив конечную формулу, подставим числа и решим задачу
