Как рассчитать изменение ёмкости плоского конденсатора?
Электродинамика. Электростатика: Электроёмкость. Энергия электрического поля. Задание на расчёт изменения ёмкости плоского конденсатора
Научитесь определять, как меняется ёмкость плоского конденсатора при внесении изменений в его конструкцию, такие как изменение расстояния между обкладками или вставка диэлектрика. В статье объясняется влияние различных факторов на ёмкость и как эти изменения можно quantitatively оценить. Мы разберем задачу с подробным решением, чтобы показать, как применять теоретические знания на практике. Этот материал поможет вам глубже понять принципы работы конденсаторов и успешно решать связанные с ними физические задачи
Задача
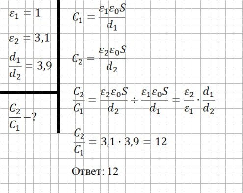
Определи, во сколько раз увеличится ёмкость конденсатора при уменьшении расстояния между его обкладками в 3,9 раз и одновременном заполнении его диэлектрической жидкостью с проницаемостью 3,1.
Задача решается буквально в пару действий. Запишем формулу ёмкости плоского конденсатора для каждого случая и поделим друг на друга правые и левые части
Даже такие маленькие задачки иногда вызывают затруднения.
