Как рассчитать разность потенциалов в электростатическом поле? (1)
Электродинамика. Электростатика: Работа сил электростатического поля. Разность потенциалов. Задание на расчёт разности потенциалов (1)
Научитесь определять разность потенциалов между двумя точками в электростатическом поле, используя основные принципы работы сил поля. В статье объясняется, как зависит разность потенциалов от распределения зарядов и конфигурации поля. Мы разберем пошаговое решение задачи, чтобы продемонстрировать, как применять эти знания на практике. Этот материал поможет вам глубже понять концепцию потенциала и успешно решать задачи по электростатике
Задача
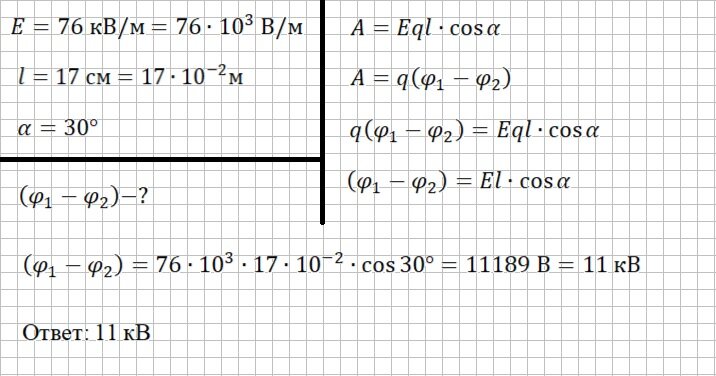
Заряд q=9 нКл перенесли на расстояние l=17 см в электрическом поле, имеющем напряжённость E=76 кВ/м. Угол между направлениями перемещения и силовыми линиями поля составил 30°. Рассчитай разность потенциалов начальной и конечной точек (φ₁−φ₂).
Задача довольно проста. С одной стороны работа поля при перемещении в нём точечного заряда может быть выражена через путь и напряжённость поля, с другой стороны работа поля зависит от разности потенциалов. Запишем обе формулы и выразим разность потенциалов.
