Как рассчитать ток в катушке при наличии ЭДС индукции: пошаговое решение задачи по физике
Электромагнитная индукция. Задание на расчёт тока в катушке при наличии ЭДС индукции
В статье подробно разбирается задача на расчёт силы тока, возникающего в катушке под действием электродвижущей силы (ЭДС) индукции. Мы объясним основные принципы электромагнитной индукции, включая закон Фарадея и правило Ленца, а также покажем, как учитывать сопротивление цепи и индуктивность катушки для определения тока. Пошаговое решение с формулами и комментариями поможет вам разобраться в этой важной теме физики. Материал будет полезен школьникам, студентам и всем, кто готовится к экзаменам или хочет углубить свои знания о явлениях электромагнитной индукции.
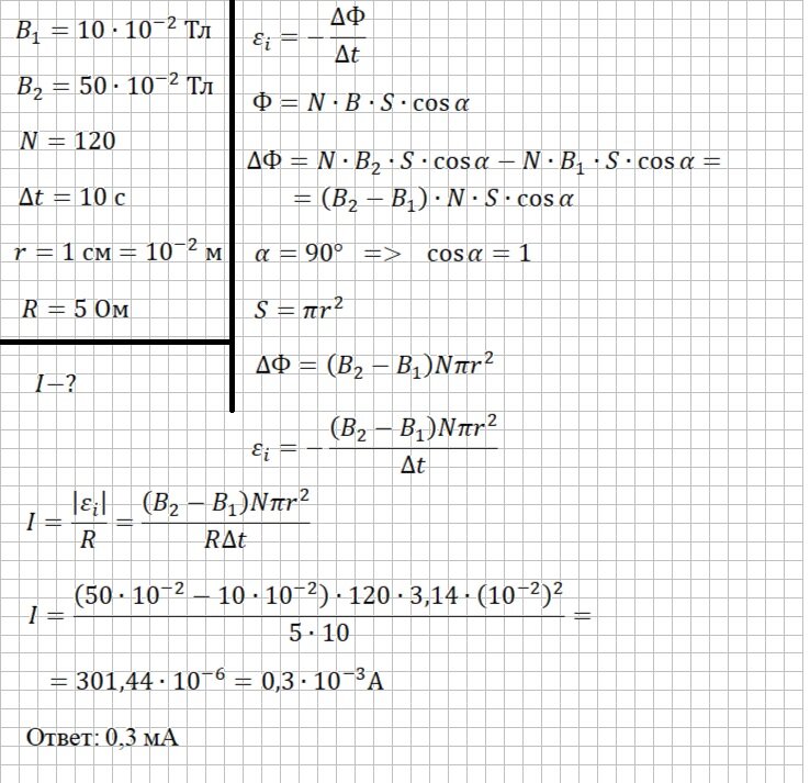
Катушка из N=120 витков радиуса r=1 см помещена в однородное магнитное поле, которое равномерно меняется от B₁= 10 ⋅10⁻² Тл до B₂= 50 ⋅10⁻² Тл за время Δt=10 с. Определи, ток какой силы протекал по катушке в ходе этого процесса, если сопротивление катушки R=5 Ом.
При изменении величины индукции поля по закону электромагнитной индукции в катушке возникает ЭДС, а так как катушка замкнута — начинает идти ток. Запишем данный закон
Поток магнитного поля в катушке будет изменяться с постоянной скоростью, а значит, ЭДС будет постоянной. Запишем формулу потока магнитной индукции в катушке и выразим изменение магнитного потока
Магнитное поле перпендикулярно плоскости витков, значит косинус равен 1. Площадь в данном случае — площадь круга, находящегося внутри витка, перепишем формулу и подставим в закон электромагнитной индукции
Так как ЭДС индукции постоянна, то ток в катушке будет постоянным. Запишем закон Ома для полной цепи и преобразуем, подставив ЭДС
Остается только подставить числа и найти ответ
