Расчёт энергии магнитного поля: подробное решение задачи по электромагнитной индукции
Электромагнитная индукция. Задание на расчёт энергии магнитного поля
В статье разбирается практическая задача по физике, связанная с расчётом энергии магнитного поля. Вы узнаете, как применять основные законы электромагнитной индукции для определения энергии, запасённой в катушке индуктивности. Подробное объяснение каждого шага решения поможет освоить тему даже начинающим ученикам. В материале также содержатся полезные формулы, примеры их использования и советы для успешного решения подобных задач. Идеально для подготовки к экзаменам или углубления знаний по физике
Задача
Магнитный поток через поверхность катушки, по которой течёт ток, — Φ= 26 мВб, индуктивность катушки — L= 8 мГн. Вычисли энергию её магнитного поля.
Электрический ток, который течёт через катушку, создаёт магнитное поле, поток которого через поверхность катушки равен Φ, а энергию этого поля нам требуется найти. Запишем формулу магнитного потока и выразим из неё силу тока
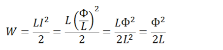
Запишем формулу энергии магнитного поля катушки и подставим выраженную раннее силу тока
Подставим числовые данные и решим задачу
