Как рассчитать скорость движения проводника в магнитном поле?
Магнитное поле. Задание на расчёт скорости движения проводника
Научитесь определять скорость движения проводника под воздействием магнитного поля, используя принципы электромагнитной индукции и силы Ампера. В статье объясняется, как взаимодействие магнитного поля с током в проводнике влияет на его движение. Мы разберем задачу с подробным решением, чтобы показать, как применять физические законы для расчета скорости проводника в различных условиях. Этот материал поможет вам глубже понять динамику проводников в магнитном поле и успешно справляться с физическими задачами
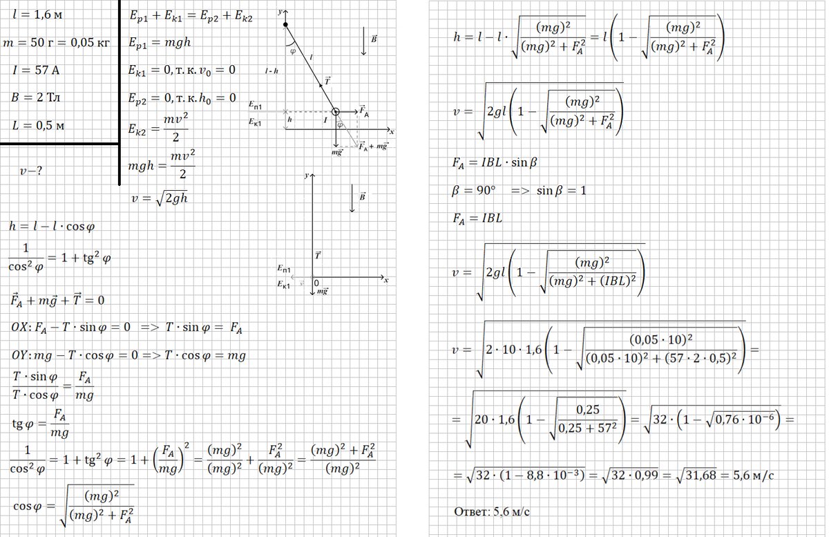
В магнитном поле (B=2 Тл) расположили прямой проводник длиной L=0,5 м и массой m=50 г, подвешенный на нитях от точки подвеса на расстоянии l=1,6 м. По проводнику начал течь ток I=57 А. Когда проводник отклонился от вертикали на некоторый угол φ, ток в нём отключили. Найди, с какой скоростью проводник будет проходить нижнюю точку траектории движения после отключения источника тока. Массой нитей пренебречь.
Изобразим силы при наличии и отсутствии тока в проводнике
Сила натяжения нити в каждой точке траектории перпендикулярна скорости тела, а следовательно, не совершает работу. Работу совершает только сила тяжести, и для стержня выполняется закон сохранения механической энергии, начальная скорость проводника равна нулю. Запишем и преобразуем закон сохранения полной механической энергии, а затем выразим скорость
Таким образом, необходимо найти высоту. Учитывая геометрические соотношения, выразим её через длину нити и запишем
Положение проводника до отключения тока определяется силой Ампера. Запишем следствие из второго закона Ньютона при наличии силы Ампера и спроецируем на оси. Затем разделим формулы друг на друга, выразив тангенс
Объединим все формулы в одну, выполнив необходимые преобразования
Запишем закон Ампера. Угол β — угол между направлением вектора магнитной индукции и направлением тока, он равен 90°, следовательно синус равен 1. Перепишем формулу с учетом этого и подставим в формулу скорости
Осталось только не запутаться в расчётах)
