Как рассчитать модуль вектора магнитной индукции?
Магнитное поле. Задание на расчёт модуля вектора магнитной индукции
Научитесь определять модуль вектора магнитной индукции, используя законы магнетизма и зависимости от источников магнитного поля, таких как ток или движущиеся заряды. В статье объясняется, как модуль индукции зависит от расстояния до источника, силы тока и геометрии системы. Мы разберем задачу с подробным решением, чтобы продемонстрировать, как применять формулы для расчета модуля магнитной индукции в различных ситуациях. Этот материал поможет вам глубже понять основы магнитного поля и успешно решать физические задачи
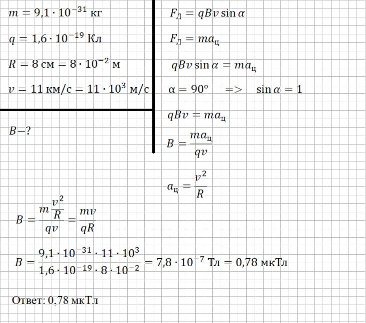
Задача
Электрон, движущийся перпендикулярно линиям индукции со скоростью v= 11 км/с, описал окружность радиусом R=8 см. Рассчитай модуль вектора магнитной индукции поля.
В данной задаче частица с зарядом q движется со скоростью v в магнитном поле по окружности, где центростремительное ускорение вызывается силой Лоренца. Запишем выражение для силы Лоренца и подставим в следствие из второго закона Ньютона
Здесь α — угол между вектором скорости и вектором магнитной индукции, он равен 90°, следовательно синус равен 1. Перепишем формулу с учетом этого и выразим искомое значение индукции магнитного поля
Вместо центростремительного ускорения подставим его формулу
Подставим числа и решим задачу
